网站首页  词典首页


请输入您要查询的字词:

 

字词 异麦芽糖
类别 中英文字词句释义及详细解析
释义

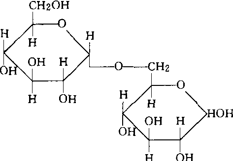
异麦芽糖isomaltose

二个D-吡喃葡萄糖基以α1→6糖苷键连接而成的还原性双糖。化学结构式如下。是支链淀粉和糖原的结构组分,也是某些细菌多糖的重复单位。来源于支链淀粉或糖原的降解,或通过转葡萄糖基反应生成。

随便看

 

离鸟网收录3541549条中英文词条,其功能与新华字典、现代汉语词典、牛津高阶英汉词典等各类中英文词典类似,基本涵盖了全部常用中英文字词句的读音、释义及用法,是语言学习和写作的有利工具。

 

Copyright © 2004-2024 vtrois.com All Rights Reserved
更新时间:2026/5/31 12:04:26