网站首页  词典首页


请输入您要查询的字词:

 

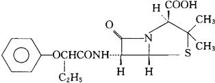
字词 丙匹西林
类别 中英文字词句释义及详细解析
释义 丙匹西林

C18H22N2O5S=378.44

CAS-551-27-9

(1-苯氧丙基)青霉素。

(1-Phenoxypropyl)penicillin.

6-(α-苯氧丁酰胺基)青霉烷酸。

6-(α-Phenoxybutyramido)penicillanic acid

抗生素类药。

普匹西林。

Propicillin.

INN,BAN,USAN.

随便看

 

离鸟网收录3541549条中英文词条,其功能与新华字典、现代汉语词典、牛津高阶英汉词典等各类中英文词典类似,基本涵盖了全部常用中英文字词句的读音、释义及用法,是语言学习和写作的有利工具。

 

Copyright © 2004-2024 vtrois.com All Rights Reserved
更新时间:2026/4/8 0:59:22