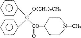
丙哌维平
C23H29NO3=367.49 CAS-60569-19-9 二苯丙氧醋酸1-甲基-4-哌啶。 1-Methyl-4-piperidyl diphenylpropoxyacetate. α-苯基-α-丙氧苯醋酸1-甲基-4-哌啶。 1-Methyl-4-piperidinylα-phenyl-α-propoxybenzeneacetate. 镇痛药,解痉药。 罗匹外宁,丙哌维林。 Propiverine,Apomed,Mictonetten,Mictonorm,p 4. INN,USAN.  |