丙烯菊酯
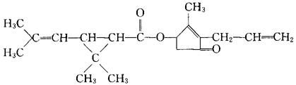
又称pynamin、pallethrin。 化学名称:(R,S)-3-烯丙基-2-甲基-4-氧代环戊-2-烯基(R,S)-顺、反-2-,2-二甲基-3-(2-甲基-1-丙烯基)环丙烷羧酸酯。化学结构式如下。为八种异构体的混合物,其中以S-烯丙醇酮的反式右旋(1R,3R)菊酸酯生物活性最高。 沸点135~138℃/13.33Pa,折光指数( )1.5040200℃时蒸气压1066.6Pa。可以溶于乙醇、四氯化碳及煤油,不溶于水。大鼠口服LD50为920mg/kg、小鼠为480mg/kg,大鼠经皮LD50为3700mg/kg。 对鲤TLM(45h)1.5mg/L。主要用于室内防除蚊、蝇等卫生害虫。 
|