网站首页  词典首页


请输入您要查询的字词:

 

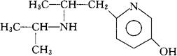
字词 丙索替诺
类别 中英文字词句释义及详细解析
释义 丙索替诺

C11H18N2O=194.28

CAS-78997-40-7

(±-)-6-[2-(异丙氨基)丙基]-3-吡啶酚。

(±)-6-[2-(Isopropylamino)propyl-3-pyridinol.

益智药。

Prisotinol.

INN,USAN.

随便看

 

离鸟网收录3541549条中英文词条,其功能与新华字典、现代汉语词典、牛津高阶英汉词典等各类中英文词典类似,基本涵盖了全部常用中英文字词句的读音、释义及用法,是语言学习和写作的有利工具。

 

Copyright © 2004-2024 vtrois.com All Rights Reserved
更新时间:2026/4/8 6:33:24