网站首页  词典首页


请输入您要查询的字词:

 

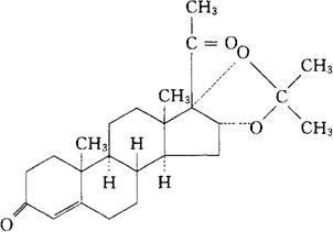
字词 丙缩阿尔孕酮
类别 中英文字词句释义及详细解析
释义 丙缩阿尔孕酮

C24H34O4=386.53

CAS-4968-09-6

[16α]-16,17-[(甲基亚乙基)双(氧)]孕甾-4-烯3,20-二酮。

[16α]-16,17-[(Methylethylidene)bis(oxy)]pregn-4-ene-3,20-dione.

16α,17-二羟基-孕甾-4-烯-3,20-二酮与丙酮形成的环乙缩醛。

16α,17-Dihydroxy-pregn-4-ene-3,20-dione cyclic acetal with acetone.

孕激素类药。

Algestone Acetonide,Alfasone Acetonide,Alphasone Acetonide,W3395.

INN(Algestone),BAN,USAN.

随便看

 

离鸟网收录3541549条中英文词条,其功能与新华字典、现代汉语词典、牛津高阶英汉词典等各类中英文词典类似,基本涵盖了全部常用中英文字词句的读音、释义及用法,是语言学习和写作的有利工具。

 

Copyright © 2004-2024 vtrois.com All Rights Reserved
更新时间:2026/4/7 10:33:42