网站首页  词典首页


请输入您要查询的字词:

 

字词 丙羟巴比
类别 中英文字词句释义及详细解析
释义 丙羟巴比

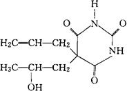
C10H14N2O4=226.23

CAS-2537-29-3

5-烯丙基-5-(2-羟丙基)巴比土酸。

5-Allyl-5-(2-hydroxypropyl)barbituric acid.

5-(2-羟丙基)-5-(2-丙烯基-2,4,6-(1H,3H,5H)嘧啶三酮。

5-(2-Hydroxypropyl)-5-(2-propenyl-2,4,6-(1H,3H,5H)-pyrimidinetrione.

镇静药,抗偏头痛药。

丙羟比妥。

Proxibarbal,Axeen,Centralgil,Centralgol,Hydroxydial,Iprona Ipronal,D1H,HHl84.

INN,USAN,MI.

随便看

 

离鸟网收录3541549条中英文词条,其功能与新华字典、现代汉语词典、牛津高阶英汉词典等各类中英文词典类似,基本涵盖了全部常用中英文字词句的读音、释义及用法,是语言学习和写作的有利工具。

 

Copyright © 2004-2024 vtrois.com All Rights Reserved
更新时间:2026/4/8 0:44:54