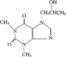
丙羟茶碱
C10H14N4O3=238.25 CAS-603-00-9 7-(2-羟丙基)茶碱。 7-(2-Hydroxypropyl)theophylline. 3,7-二氢-7-(2-羟丙基)-1,3-二甲基-1H-嘌呤-2,6-二酮。 3,7-Dihydro-7-(2-hydroxypropyl)-1,3-dimethyl-1Hpurine-2,6-dione. 支气管扩张药,血管扩张药,平滑肌松弛药。用于支气管哮喘、心绞痛、冠脉不全、心脏水肿等。羟丙茶碱。 Proxyphylline,Prontyl,Thean,Spasmolysin,Oxypropyltheophylline,Purophylline. INN,BAN,USAN,MI.  |