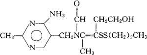
丙舒硫胺
C15H24N4O2S2=356.50 CAS-59-85-5 N-[(4-氨基-2-甲基-5-嘧啶基)甲基]-4-[4-羟-1-甲基-2-(丙基二硫代)-1-丁烯基]甲酰胺。 N-[(4-Amino-2-methyl-5-pyrimidinyl)methyl]-4-[4-hydroxy-1-methyl-2-(propyldithio)-1-butenyl]formamide.- 2-(2-甲基-4-氨基嘧啶-5-基)甲基甲酰胺基-5-羟-2-戊烯3-基丙基二硫化物。 2-(2-Methyl-4-aminopyrimidin-5-yl)methylformamido-5-hydroxy-2-penten-3-yl propyl disulfide. 维生素类药。 优硫胺,新维他命B1,丙硫硫胺(中)。 Prosultiamine,Alinamin,Vitamin B1 Propyl Disulfide,DTPT TPD,Dithiopropylthiamine,Tipidi. INN,DCF,USAN,MI.  |