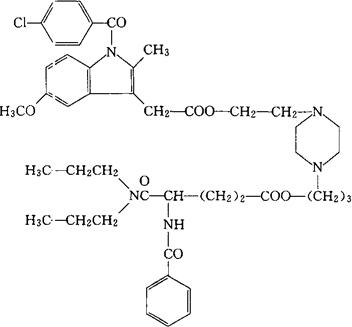
丙谷美辛
C46H58ClN5O8=844.45 CAS-57132-53-3 3-[4-(2-羟乙基)-哌嗪基]丙基DL-4-苯甲酰氨基-N,N-二丙基戊二酰胺酸1-(对氯苯甲酰)-5-甲氧-2-甲基吲哚-3-乙酸(酯)。 3-[4-(2-Hydroxyethyl)-1-piperazinyl]propyl DL-4-benzamido-N,N-dipropylglutaramate 1-(p-chlorobenzoyl)-5-methoxy-2-methylindole-3-acetate(ester). 2-[4-[3-[(4-苯甲酰氨基)-5-(二丙氨基)-1,5-二氧代戊基]氧]丙基]-1-哌嗪基乙基1-(4-氯苯甲酰)-5-甲氧-2-甲基-1H-吲哚-3-醋酸酯。 2-[4-[3-[(4-Benzoylamino)-5-(dipropylamino)-1,5-dioxopenty]oxy]propyl]-1-piperazinylethyl 1-(4-chlorobenzoyl)-5-methoxy-2-methyl-1H-indole-3-acetate. 消炎镇痛药,抗风湿病药。用于慢性关节风湿病、变形性关节炎、腰痛症、颈肩腕综合征、肩关节周围炎。 丙谷美他辛。 Proglumetacin,Protacine. INN,BAN,USAN,MI. 
|