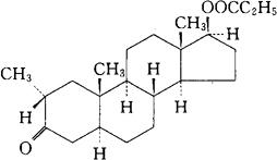
丙酸屈他雄酮
C23H36O3=360.54 CAS-521-12-0 CAS-58-19-5(dromostanolone) (2α,5α,17β)-2-甲基-17-(1-氧代丙氧)雄烷-3-酮。 (2α,5α,17β)-2-Methyl-17-(1-oxopropoxy)androstan-3-one. 17β-羟-2α-甲基-5α-雄烷-3-酮丙酸酯。 17β-Hydroxy-2α-methyl-5α-androstan-3-one propionate. 雄激素类药。 屈他雄酮丙酸酯。 Dromostanolone Propionate,Dromostanolone Propionate,Drolban,NSC-12198. INN& BAN(Drostanolone),USAN,USP.  |