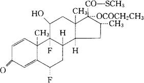
丙酸替卡贝松
C25H32F2O5S=482.58 CAS-73205-13-7 6α,9-二氟-11β,17-二羟-16α-甲基雄甾-1,4-二烯-3-酮-17β-硫代羧酸S-甲酯,17-丙酸酯。 S-Methyl 6α,9-difluoro-11β,17-dihydroxy-16α-methylandrosta-1,4-dien-3-one-17β-carbothioate,17-propionate. (6α,11β,16α,17α)-6,9-二氟-11-甲基-3-氧代-17(1-氧代丙氧)-雄甾-1,4-二酮-17-硫代羧酸S-甲酯。 (6α,11β,16α,17α)-6,9-Difluoro-11-methyl-3-oxo-17(1-oxopropoxy)androsta-1,4-dione-17-carbothioic acid S-methyl ester. 皮质激素类药。 Ticabesone Propionate,RS-31909-00-00-0. USAN.  |