丙酸氟替卡松
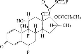
C25H31F3O5S=500.57 CAS-80474-14-2 CAS-90566-53-3(fluticasone) 6,9-二氟-11-羟-16-甲基-3-氧代-17-(1-氧代丙氧基)雄甾-1,4-二烯-17-硫代羧酸(6α,11β,16α,17α)-S-(氟甲基)酯。 6,9-Difluoro-11-hydroxy-16-methyl-3-oxo-17-(1-oxopropoxy)androsta-1,4-diene-17-carbothioic acid,(6α,11β,16α,17α)-S-(fluoromethyl)ester. 6,9-二氟-11β,17-二羟基-16α-甲基-3-氧雄甾-1,4-二烯-17β-硫代羧酸,S-(氟甲基)酯,17-丙酸酯。 S-(Fluoromethyl)6,9-difluoro-11β,17-dihydroxy16α-methyl-3-oxoandrosta-1,4-diene-17β-carbothioate,17-propionate. 氟化皮质甾类药,消炎药,肾上腺素皮质激素类药。氟替卡松丙酸酯。 CCI 18781,Fluticasone Propionate. INN & BAN(Fluticasone),USAN.  |