网站首页  词典首页


请输入您要查询的字词:

 

字词 东北雷公藤
类别 中英文字词句释义及详细解析
释义 东北雷公藤

【名称出处】:《全国中草药汇编》

【概况】:

基源 为卫矛科雷公藤属植物东北雷公藤的全株。

雷公藤属约4种,产于东亚,中国全产。

原植物 东北雷公藤Tripterygium regeli Sprague et Takeda,又名黑蔓(《中国树木分类学》)。

形态 藤状灌木,高约2m。

小枝具6棱,光滑无毛。

单叶互生。叶柄长3cm;叶片宽卵形或椭圆形,先端急尖,基部圆形,长5~15cm,宽3~9cm。

聚伞状圆锥花序顶生,长10~20cm;花杂性,细小,绿白色,直径约5mm,花盘浅杯状,雄蕊著生于杯状花盘的外缘;两性花的子房有3裂的柱头,在雄花中不育子房无分裂柱头。蒴果长圆形,长达2cm,具3翅,翅宽而薄,边缘常呈皱缩状;种子1,长柱形。

生境与分布 生于山地林缘路边。

中国东北各地有分布。日本也有分布。

【化学】:

叶中含倍半萜聚酯类化合物,有:黑蔓素A,B,C-1,C-2,D-1,D-2,E,F-1,F-2,F-3,F-4(Triptofordin A,B,C-1,C-2,D-1,D-2,E,F-1,F-2,F-3,F-4)和生物碱:黑蔓酯碱(Regilidine)、黑蔓生物碱A-1A-2(TriptofordinineA-1,A-2)。

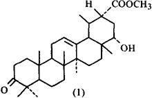
根中含二萜:山海棠素(Hypolide),三萜:雷公藤内酯甲、乙(wilqoreide A、B)、黑蔓酮酯甲(RegelinI)(1)、黑蔓酮酯乙,丙,丁(RgeglinⅡ,Ⅲ,D)、黑蔓醇酯甲、乙(RegelindiolA,B)[1]。此外还含Orthosphenic acid、Salasperrnic acid、3β-22a-二羟基△12齐墩果烯-29酸,3,24-二氧软木三萜酮-29-酸(3,24,-Dioxo-friedelan-29-oic acid)、南蛇藤醇(Celaslrol)、雷酚内酯(Triptophenolide)和4种尚未命名的新的二萜醌化合物[2]。多糖中含有一种水溶性葡聚糖TRG-1,无机元素有Ba、Ca、Mg、Cu、Fe、En、Zn、Co、Se[3]

参考文献 [1] 中国药科大学学报1990;21(4):251 [2] 华东地区第七次天然药物化学学术会议论文集.无锡.1987:14 [3] 中国药学会吉林分会、长春分会1986年学术会议论文摘要汇编,1987:50,54。【药性】:

性味 全株、根、叶、花、果:有毒。

功效 《新华本草纲要》:“功效似雷公藤。”

随便看

 

离鸟网收录3541549条中英文词条,其功能与新华字典、现代汉语词典、牛津高阶英汉词典等各类中英文词典类似,基本涵盖了全部常用中英文字词句的读音、释义及用法,是语言学习和写作的有利工具。

 

Copyright © 2004-2024 vtrois.com All Rights Reserved
更新时间:2026/5/25 19:43:28