网站首页  词典首页


请输入您要查询的字词:

 

字词 强心甙
类别 中英文字词句释义及详细解析
释义

强心甙cardiac glycoside

又叫强心性配糖体,系一种具有选择性很强的强心作用的药物。其化学结构系由配基和不同数量的糖分子结合而成。配基由甾核与一个不饱和的内酯环所构成,具有药理活性,但本身对心肌作用较弱且时间暂短,但与糖分子结合后其作用强而持久。强心甙系治疗充血性心力衰竭的重要药物。常用的强心甙类药物有洋地黄、洋地黄毒甙、狄戈辛、毛花丙甙、毒毛旋花子甙K及G、黄夹甙、铃兰毒甙等。

强心甙

俗称“强心药”。是一类选择地作用于心脏的药物。能加强心肌收缩力,影响心肌的电生理活动。临床上主要用于治疗充血性心力衰竭和某些心律失常。强心性生药资源有:紫花毛地黄、夹竹桃、万年青、羊角拗、铃兰等。常用的强心药有洋地黄、洋地黄毒甙、地高辛(强心素)、西地兰(毛花强心丙)和毒毛旋花子甙K。毒性反应:胃肠道症状、神经系统反应和黄视或绿视,各种严重的心律失常等。

强心甙cardiac glycosides

亦称心甙或强心性配糖体。是一类选择性作用于心脏、增强心肌收缩力的甙类药物。主要用于治疗慢性心功能不全(充血性心力衰竭)。常用者有洋地黄毒甙、狄戈辛、毛花甙丙、毒毛旋花子甙等。

强心甙

强心甙

强心甙即强心配糖体,由糖和甙元结合而成。是一类甾体内酯甙,具有选择性增强心肌收缩力的药物。主要用于治疗充血性心力衰竭。
1785年英国人Withering发表了 “洋地黄及其治疗用途”,当时只作为利尿剂,19世纪发现其对心脏的作用,20世纪初才广泛用于心力衰竭和心律失常。
来源和化学结构 强心甙大都自植物中提取而得。现已知含有强心甙的植物多达200种以上,主要有:
❶玄参科(洋地黄);
❷夹竹桃科(夹竹桃和羊角拗等);
❸百合科(铃兰和万年青等);
❹毛茛科(福寿草等)等。我国含有强心甙的植物资源丰富,已研究过的有8个科30余种,从黄花夹竹桃果实提取的黄夹甙(强心灵)已在临床上广泛应用。
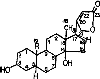
强心甙的甙元是由甾核和一个不饱和内酯环所构成,其结构特征为:
❶甾核的A/B和C/D环为顺式,B/C环为反式,C/D环的顺式结合是区别于其他天然甾体类激素的主要特点;
❷C2上均有一个β-位羟基,此羟基以甙链与糖结合;
❸C14上有另一个β-位羟基,有的强心甙除C3、C14所必备的2个羟基外,在不同部位尚有1至数个羟基,随着羟基的增加,脂溶性就降低,口服吸收程度减少;
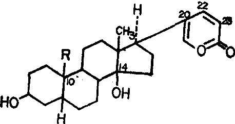
❹C17与不饱和五员(甲型强心甙)或六员(乙型强心甙)内酯环相联。
强心甙的糖部分是由1~4个单糖组成。有的糖分子上有甲基或乙基,糖的种类较多,包括α-去氧吡喃糖、葡萄糖和鼠李糖等。甙元决定了强心甙特有的强心作用,当与糖结合成甙后可增加水溶性、细胞通透性和与心肌结合的程度,使作用加强和持久。强心甙在体内脱糖后,C位上的羟基迅速由β-位变为α-位而失效。

甲型强心甙元

乙型强心甙元


强心甙为治疗心力衰竭,尤其是充血性心力衰竭所不可缺少的。但治疗宽度狭窄,容易中毒。其正性肌力也不够强大。通过改变强心甙的结构,获得了一些治疗宽度较大的药物:
❶ actodigin,其分子中内酯环与甾核17β处结合的位置从C20转移到C22,则治疗宽度加大;
❷吉妥辛的16β-羟基改为16α-羟基及吉妥辛的乙酰化物均使治疗宽度增大,口服吸收增加(由0%升至60%);地高辛甲酰化或乙酰化也能达到同样目的。在天然甙中,根据动物实验,发现黄夹次甙甲、羊角拗混合甙、黄麻甲甙和海葱次甙的治疗宽度也较宽。现在强心甙研究的方向是:
❶改变化学结构寻找安全范围较宽的新药物;
❷合并用药以达到增加安全范围的目的。
药理作用 强心甙的主要药理作用是选择性加强心肌收缩力,即正性肌力作用。对人和动物都引起心肌收缩力增加,收缩速度加快,收缩期缩短,舒张期延长,这有利于心肌休息和心肌的供血。由于舒张期延长有更多静脉血回心,更有利于增加心输出量。强心甙的上述作用在心功能不全的病人身上尤为明显。心衰病人用强心甙后,心肌收缩力加强,心输出量增加,心室排空完全,心房及静脉淤血减轻,静脉血回流增加,全身循环改善。
强心甙使正常人的心肌氧耗量增加,心衰病人服用该药后,心肌收缩力加强虽可增加氧耗,但因强心甙使扩大的心脏缩小,室壁张力降低,代偿性心率加快消除,因而明显减少心肌氧耗量,心脏工作效率提高。
强心甙能减慢心率和抑制房室传导,这是通过直接和反射性兴奋迷走神经及反射性抑制交感神经所致。大剂量时直接抑制房室结和房室束的传导,减慢室性心率,这是治疗心房颤动的基础。中毒量强心甙引起房室传导阻滞,室性异位节律,进而产生房性或室性心动过速直至室颤而死亡。
强心甙能收缩动静脉,引起外周阻力增加,回心血量减少。此作用随剂量增加而加强,治疗量在改善衰竭心脏功能时,冠脉血流增加。强心甙与血管扩张剂合用治疗心力衰竭疗效更加明显。强心甙的利尿作用主要通过肾循环改善,肾血流量和肾小球滤过率增加。
强心甙的作用机理至今未得到满意结论。实验证明,本药对心肌代谢、能量产生及收缩蛋白均无直接作用。治疗量能使心肌细胞内的Ca2+含量增加,从而加强心肌收缩力。一般认为心肌细胞内Ca2+ 含量增加是由于抑制Na+、K+、ATP酶后,Na+、K+主动转运降低,细胞内Na+增加,通过Na+与Ca2+交换,使Ca2+进入细胞增多。另一种观点认为,强心甙与Na+、K+、ATP酶结合后,引起酶的构象改变,使去极化时释放出更多Ca2 +而加强心肌收缩。
不同强心甙的药理作用相似,只是它们的吸收、分布、代谢和排泄有差异,因此其作用快慢、强弱和作用维持时间不同,按作用出现时间可将强心甙分为慢效、中效和速效三类(见下表)。
临床应用
❶治疗心力衰竭,其治疗效力与病因和心肌损害程度有关,对冠心病和高血压性心力衰竭病人最为有效。对肺心病或伴有甲状腺毒、房室瘘等高排性心力衰竭病人的作用有限,这些病人应纠正其发病原因。当充血性心衰发展成合并慢性狭窄性心外膜炎、心肌炎或二尖瓣狭窄而又是正常心率者治疗价值很小。对特发性心肌肥厚引起的主动脉瓣狭窄,强心甙可使心排出障碍加重,故应避免应用,除非伴有心律失常。在急性心肌梗塞是否用强心甙看法不一致,若心率加快,中度心衰,伴有肺充血则先用利尿剂,心功能恶化再加强心甙,但剂量要小,避免引起心律失常,在此情况下合并用血管扩张剂特别有效。
❷心律失常。由于强心甙减慢A-V传导,能引起A-V传导阻滞。故用于控制心房纤颤病人的心室率,可使房颤消失。对房扑无效,但它能使房扑转变为房颤再转变为窦性心律。对由心衰引起的窦性心动过速、室性和室上性期前收缩有效,但对非心衰的窦性心动过速无效。

强心甙作用时间及用法

分类药 物用法奏效时间高峰时间完全消失消除途径全效量维持量速给法缓给法
慢效洋地黄
(每片0.1g)
口服4~6小时12~24小
2~3周肝、少量
0.7~1.0g0.05~0.1g先0.4g,后每小
时0.2g,连给
3次
每日3次,每次
0.1g,连服3~
4天
洋地黄毒甙
(每片0.1mg)
口服2~4小时8~12小
2~3周肝、少量
0.7~1.0mg0.05~0.1mg先0.4mg,后每
8小时0.2mg,
连服3次
每日3次,每次
0.1mg连服3
~4天
中效地高辛
(每片0.25mg)
口服1~2小时4~8小时3~6天肾、少量
2.0~2.5mg0.25~0.5mg先0.75mg,后每
6小时0.5mg,
连用2~3次
每日3次,每次
0.25mg连用
3~4天
黄夹甙
(每片0.25mg,
0.5mg/ml)
口服
静注
1~2小时4~8小时3~6天肾、肝2.0~3.0mg
0.5mg
0.25~0.5mg 每日3次,每次
0.25mg共3
~4天
速效西地兰
(0.4mg/2ml)
静注5~30分1~2小时3~6天1.0~1.2mg 先0.4~0.8mg,
后每1~2小时
0.2~0.4mg
 
毒毛旋花子甙
K
(0.5mg/ml)
静注5~10分1/2~2小
1~2天肾、少量
0.25~0.5mg 先0.25mg,必
要时2~4小
时后0.125~
0.25mg
 
铃兰毒甙
(0.1mg/ml)
静注20~25分2小时5天 0.2~0.3mg0.05~0.1mg先0.1mg,每日
2~3次
 
☚ 平喘药   洋地黄毒甙 ☛
00005464
随便看

 

离鸟网收录3541549条中英文词条,其功能与新华字典、现代汉语词典、牛津高阶英汉词典等各类中英文词典类似,基本涵盖了全部常用中英文字词句的读音、释义及用法,是语言学习和写作的有利工具。

 

Copyright © 2004-2024 vtrois.com All Rights Reserved
更新时间:2026/4/7 23:18:38