网站首页  词典首页


请输入您要查询的字词:

 

字词 丝棉木
类别 中英文字词句释义及详细解析
释义 丝棉木

【名称出处】:《贵州民间药物》

【概况】:

异名 白樟树、南仲根(《浙江民间常用草药》),白桃树(《上海常用中草药》),鸡血兰(《贵州民间药物》),野杜仲(湖北),明天夜合(河北)。

基源 为卫矛科卫矛属植物白杜的根、树、果实及枝叶。

原植物 白杜Euonymus bungeanus Maxim.(Euonymus maackii Rupr),又名桃叶卫矛(《中国树木分类学》)。

形态 落叶或半常绿小乔木,高5~8m。树皮灰褐色,小枝细长,灰绿色,略呈四棱形,皮部断面有白色丝状棉胶。单叶对生,叶柄细长,长2~3.5cm;叶片宽卵形、长圆状椭圆形或近圆形,先端渐尖,具小尖头,基部近圆形,长4~10cm,宽3~6cm,边缘有细锯齿。聚伞花序腋生,1~2次分枝,总花梗长1~2cm,有花3~15,花4数,黄褐色,细小,直径约8mm,花药紫色;花盘肥大,子房与花盘连合,花柱1。

蒴果粉红色,倒圆锥形,直径约1cm,成熟时4瓣裂,露出桔红色的假种皮;种子淡黄色。花期5~6月,果期9~10月。

(图见《中国高等植物图鉴》.第2册.670页.图3070)

生境与分布 生于山区林缘、山坡溪沟边及路边。

分布于华东及辽宁、河北、山西、陕西、甘肃、湖北、四川。。【生药】:

采集 根、树皮、枝叶全年可采;果实秋季采收。

除去杂质晒干。

贮藏 置干燥处。

。【化学】:

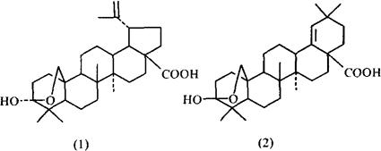
干皮含胶质16.3%~21.6%[1,2];叶含槲皮素、槲皮甙-3-鼠李糖-7-葡萄糖甙,异槲皮素、槲皮素-3-阿拉伯糖甙、槲皮素-3-二葡萄糖甙、槲皮素黄酮甙、芸香甙、槲皮甙、槲皮素的二糖甙(D-葡萄糖和L-阿拉伯糖、D-茑萄糖和L-鼠李糖)[2]、Mononic acid、雷公藤内乙酯(Wilforlide B)、雷公藤内甲酯、3β,22α-二羟基-△12齐墩果烯29-羧酸、没食子酸[3]、Benulin(Lantabetulic acid)(1)、3β-25环氧-3α-羟基、△20(29)羽扇豆烯-28-羧酸)和丝木酸(Bungeanicacid,即3β,25-环氧-3α-羟基-△13-齐墩果烯-28羧酸)(2)[4,5]

参考文献 [1] 中药大辞典.上册.上海人民出版社,1977:796 [2] 中草药学.中册.江苏人民出版社,1976:622 [3] 上海医科大学学报 1986;13(3):190 [4] 上海医科大学学报 1986;13(5):340 [5] 中国药学文摘 1988:8800137

【药性】:

性味 苦、涩,寒。

有小毒。

功效 祛风湿,活血,止血。

主治 风湿性关节炎,腰痛,血栓闭塞性脉管炎,衄血,漆疮,痔疮。 ❶ 《贵州民间药物》:“止血,泻热。”
❷ 《浙江民间常用草药》:“消炎解毒,祛风湿,活血,补肾。”

用法用量 内服:煎汤,30~60g;或浸酒。外用:煎水熏洗。

【临床应用】:

方选和验方 《青岛中草药手册》:“治漆疮:丝棉木叶60g,香樟木30g,蒲公英6g,苦参6g,雪见草30g。水煎洗患处。”

单方应用 ❶ 《浙江民间常用草药》:“治腰痛:丝棉木树皮12~30g,水煎服。”
❷ 《贵州民间药物》:“治衄血:丝棉木果实及根各6g。水煎服。


❸ 《浙江民间常用草药》:“治风湿痹症:丝棉木根、虎杖根各30g,红木香、五加皮各15g,烧酒0.5~1kg。冬天浸1周(夏天酌减),每次服30~60g。”
❹ 《浙江民间常用草药》:“治痔疮:丝棉木根、桂肉各120g。水煎服。

随便看

 

离鸟网收录3541549条中英文词条,其功能与新华字典、现代汉语词典、牛津高阶英汉词典等各类中英文词典类似,基本涵盖了全部常用中英文字词句的读音、释义及用法,是语言学习和写作的有利工具。

 

Copyright © 2004-2024 vtrois.com All Rights Reserved
更新时间:2026/4/6 15:19:17