网站首页  词典首页


请输入您要查询的字词:

 

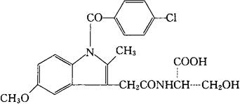
字词 丝美辛
类别 中英文字词句释义及详细解析
释义 丝美辛

C22H21ClN2O6=444.87

CAS-57645-05-3

N-[[1-(对氯苯甲酰)-5-甲氧-2-甲基吲哚-3-基]乙酰]-L-丝氨酸。

N-[[1-(p-Chlorobenzoyl)-5-methoxy-2-methylindol3-yl]acetyl]-L-serine.

消炎药。

Setrmetacin.

INN,USAN.

随便看

 

离鸟网收录3541549条中英文词条,其功能与新华字典、现代汉语词典、牛津高阶英汉词典等各类中英文词典类似,基本涵盖了全部常用中英文字词句的读音、释义及用法,是语言学习和写作的有利工具。

 

Copyright © 2004-2024 vtrois.com All Rights Reserved
更新时间:2026/4/7 10:01:50