两条异面直线的距离
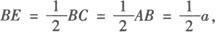
两条异面直线的公垂线在这两条异面直线间的线段的长,叫做两条异面直线的距离. 例 空间四边形ABCD,连结对角线AC和BD,E,F分别是BC,AD中点,AB=BC=CD=DA=AC=BD,如图(1)求证:EF是异面直线BC,AD的公垂线.  (2)设AB=a,求异面直线BC,AD间的距离. 策略 欲证EF是异面直线BC,AD的公垂线,已知EF与它们都相交,只要证EF与它们都垂直即可,这可通过已知条件构造等腰三角形即可实现. 证明 (1)连结FB,FC. ∵AB=BC=CD=DA=BD=AC, ∴△ABD≌△ADC且为等边三角形. ∵F为AD中点, ∴CF=FB(全等三角形的中线长相等), 则△FBC为等腰三角形,E为底边BC的中点, ∴EF⊥BC. 连结EA,ED,同理可证EF⊥AD, 又∵EF与AD,BC都相交,∴EF是AD,BC的公垂线. (2)由(1)的证明知EF是AD、BC的公垂线. ∴EF的长就是这两条异面直线间的距离. ∵AB=a,在等腰△FBC中,FB=FC= ,  在Rt△BEF中, EF2=BF2—BE2  即异面直线BC,AD间的距离为 . 点评 证明一条线段是异面直线的公垂线时要注意证明两点: ❶ 垂直; ❷ 相交. |