| 释义 |
循环连分数 循环连分数xunhuan lianfenshu一个无限正则连分数 中,若存在一个常数k(k∈N),使对一切不小于m的非负整数n(m为已知的非负整数)均有an+k=an,则称这个连分数为循环连分数.当m=0时,称为纯循环连分数;当m∈N时称为混循环连分数. 连分数中如下的一节 


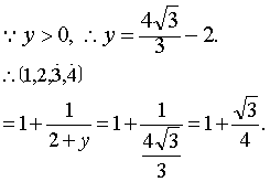
可简记为〔1,2,3,4〕. 可以证明:循环连分数必是一个整系数一元二次方程的正无理根.反之,任一个二次无理数(即整系数一元二次方程的正无理根)必能表示成一个循环连分数.具体计算方法可参照以下几个例题进行.   
例2 求〔1,2,3,4〕之值. 

 
 
☚ 正则连分数 复数 ☛ 循环连分数recurring continued fraction |