两阶段法
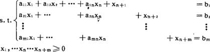
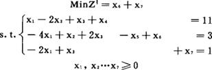
线性规划问题中,当约束条件中加入人工变量后的另一种处理算法(计算效果同“大M法”)。 对引入了人工变量的线性规划问题,分两阶段求解。 第一阶段:先求解辅助线性规划问题,判断原线性规划问题是否存在基本可行解。 设原模型约束条件标准化后为:  其中xn+1…Xn+m为引入的人工变量 则辅助规划问题为在上述约束下,求解目标函数为: MinZ′=Xn+1+Xn+2+…+Xn+m的线性规划问题。 若求解得到Z′=0,表示原问题已得到一个基本可行解,可转入第二阶段运算。若求解得Z′>0,表示原问题无可行解,应停止运算。 第二阶段:将第一阶段最终计算表中的目标函数系数行的数字,换成原问题的目标函数系数的数字(人工变量此时可去掉)。这就得到了求解原问题的初始计算表,再按正常方法求解。 例,对“大M法”中所举例题用“两阶段法”求解。 第一阶段:求解模型   求解出 X1=0, X2=1, X3=1, X4=12, X5=0, X6=X7=0, Z′=0。 以上述最终表转入第二阶段计算:  最优解为:X1*=4,X2*=1,X3*=9,Z*=-2 |