网站首页  词典首页


请输入您要查询的字词:

 

字词 快杀稗
类别 中英文字词句释义及详细解析
释义

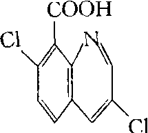
快杀稗quinclorac

有机杂环类选择性除草剂。化学名称:3,7-二氯-8-喹啉羧酸。化学结构式如下。防除稻田稗草特效,对4~7叶稗草效果突出,还能防除鸭舌草、水芹等。能被萌发的种子、根和叶部吸收,表现激素型除草剂的反应,幼嫩叶片失绿、扭曲。水稻移栽田在移栽后,稗草1~3.5叶期使用;直播水稻田、秧田,水稻2~3叶期后,稗草3~4叶期使用。可与苄嘧磺隆、灭草松、敌稗等混用,扩大杀草谱。对人、畜低毒,大鼠急性口服LD50为2 680 mg/kg,急性经皮LD50>2 000 mg/kg,急性吸入LC50大于5.2 mg/L,对鱼、鸟类低毒。

随便看

 

离鸟网收录3541549条中英文词条,其功能与新华字典、现代汉语词典、牛津高阶英汉词典等各类中英文词典类似,基本涵盖了全部常用中英文字词句的读音、释义及用法,是语言学习和写作的有利工具。

 

Copyright © 2004-2024 vtrois.com All Rights Reserved
更新时间:2026/4/8 8:17:00