网站首页  词典首页


请输入您要查询的字词:

 

字词 中、高浓度纸浆浓度的测量计算
类别 中英文字词句释义及详细解析
释义 中、高浓度纸浆浓度的测量计算

[说明]适用于浆浓大于1~1.5%的浆料浓度的测量计算。

1.根据测量纸浆管段压力损失估算浆浓

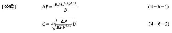
[说明]对于浆浓大于2%和流速高于0.3m/s的浆料,其纸浆浓度可根据管段压力损失进行经验计算。

式中 △P——纸浆管段压力损失(m)

C——纸浆浓度(%)

K——常数

F——常数

F=F1F2F3 (4-6-3)

F1——纸浆种类常数;草浆、漂白亚硫酸盐浆为0.7以上,未筛选机械木浆为1.5以下

F2——常数;取决于纸浆pH值:

当pH<8时,F2=1

当pH>8.5时,F2=0.7

F3——温度常数

F3=(1.408-0.0108)t (4-6-4)

t——温度(℃);当t=37.7°时,F3=1

V——纸浆在管道中流速(m/s)

D——管道内径(m)

2.流线型变送器的计算

[说明]流线型变送器,基本上都是测量剪切应力,它取决于纸浆浓度。对于“放射状圆铁”型变送器而言,纸浆浓度和作用在敏感元件上的力是非线性的,可由经验公式计算。

[公式] log4F=-K+1.040C-1.382C2 (4-6-5)

式中 F——作用在敏感元器件上的力(kg/cm2)

C——浆浓(%)

K——常数,取决于纸浆种类和变化范围,其值为0.2180~0.8377;纸浆纤维长度及强度越大,则剪切力越大,取大值,反之取小值;纸浆打浆度能成倍地降低作用在变送器上的力

随便看

 

离鸟网收录3541549条中英文词条,其功能与新华字典、现代汉语词典、牛津高阶英汉词典等各类中英文词典类似,基本涵盖了全部常用中英文字词句的读音、释义及用法,是语言学习和写作的有利工具。

 

Copyright © 2004-2024 vtrois.com All Rights Reserved
更新时间:2026/5/25 23:24:42