中位数
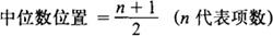
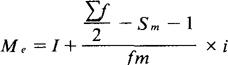
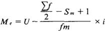
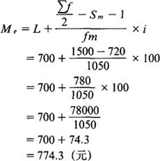
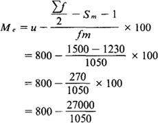
将总体单位的某一数量标志的各个数值按大小顺序排列,居于中间位置的那个数值就是中位数。 中位数也是一种代表值,可以代替算术平均数来反映某种现象的一般水平。 中位数的计算方法,要根据所掌握的资料而定,一般可分为两种情况:一是资料未经分组;二是资料已经分组。 1.在资料未分组时确定中位数的方法。  如果总体单位的项数是奇数,则居中间位置的那个标志值就是中位数。 假设有7个工人生产某种产品,他们的日产量(件)按顺序排列是:4、4、6、8、9、12、14、。则: ,即第四个工人的日产量8件为 中位数。 如果总体单位数是偶数,则中间位置的两个标志值的算术平均数为中位数。 假设上例资料为8人,另一工人的产量为15。则:中位数位置 中位数的第四和第五个工人的日产量的算术平均数,即(8+9)÷2=8.5(件)。 2.在资料已分组情况下确定中位数的方法。 在组距数列条件下确定中位数,按下列步骤进行。 第一步,确定中位数所在组。 把整个数列中的总体单位数(或总次数)除以2。 第二步,按照下限公式或上限公式确定中位数的近似值。 下限公式为:  式中: Me代表中位数; I代表中位数所在组的下限; fm代表中位数所在组的次数; Sm-1代表中位数所在组以下的累计次数; ∑f代表总次数; i代表中位数所在组的组距。 上限公式为:  式中: U代表中位数所在组的上限; Sm+1代表中位数所在组以上的累计次数。 下限公式和上限公式,都是以中位数所在组内的次数均匀分配为前提的,用这两个公式计算的数值只是中位数的近似值。 例如,某地农户年收入情况如下表:   中位数在第三组内。 从表中资料可知: L=700 fm=1050 u=800 i=100 Sm-1=720 Sm+1=1230 按下限公式计算中位数:  按上限公式计算中位数:  =800-25.7=774.3(元) |