中位数
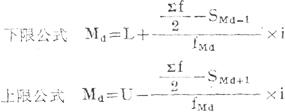
统计总体各单位按某数量标志的各个数值大小顺序排列后,居于中间位置的数值中位数把全部单位分成相等的两半,一半单位的数值在中位数以下,即小于中位数,一半单位的数值在中位数以上,即大于中位数。 它也是一种代表值。 由未分组资料计算中位数的方法是:先按标志值大小顺序排列,中位数为第(n+1)÷2这一单位的标志值,当单位数(n)为奇数时,如n为15,则中位数应为第8单位的标志值;当单位数为偶数时,如n为16,则中位数为第8.5单位的标志值,即第8位与第9位两个单位的标志值的算术平均数。 由组距数列计算中位数的方法是:先以全部单位数除以2,确定中位数的所在组;然后用下列两个公式之一来推算出中位数的估计值:  上两式中:Md代表中位数,L与U分别代表中位数所在组的下限和上限,∑f代表总次数,fMd代表中位数所在组的次数,SMd-1代表中位数所在组以下各组的累计次数,SMd+1代表中位数所在组以上各组的累计次数;i代表中位数所在组的组距。 中位数是位置平均指标之一,由它在变量数列中的位置所决定,其他各个标志值的大小只要不影响中位数的位置,就与中位数无关;在有开口组的组距数列,也不影响它的计算。 在偏斜的分配数列中,众数一般并无偏移,算术平均数偏移最大,中位数偏移较算术平均数小,居于众数与算术平均数之间。因此,中位数适宜于用作反映显著偏斜的分配数列的一般水平。 |