| 释义 |
总体方差估计 总体方差估计正态分布总体方差的估计有点估计和区间估计。 点估计: 由正态总体随机抽取含量为n,观察值为X的一个样本,当总体均数μ已知时,∑(X-μ)2/n是总体方差σ2的无偏、有效和一致的最理想估计量。但通常μ是未知的, 因此用样本方差∑(X-)2/(n-1)去估计,它是σ2的无偏估计量;若用∑(X-)2/n去估计,则仅是一致估计量。 区间估计: 按数理统计理论,标准正态变量的平方和等于自由度v为n的z2,即 
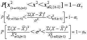
x 2的抽样分布曲线表明:在界值x 2(1-α/2),(n-1),x 2α/2,(n-1)及以外的面积为α,如x 2≤x 20.975,(n-1)和x 2≥x 0.0252,(n-1)的概率为α=0.05;而在此两界值以内的面积为1-α,如x 0.9752,(n-1)20.0252,(n-1) 的概率为1-0.05=0.95,即
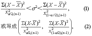
于是可按式(1)或式(2)计算可信度为1-α时,总体方差的可信区间: 式中xα/2,(n-1)2或x(1-α/2),(n-1)2由x2界值表查得。常用95%可信区间,即α=0.05。以上是总体均数 未知时,用样本均数来估计的结果。式中∑(X-)2。亦可用(n-1)s2。来估计,则式(2)可写成式(3)。
由此也容易得出可信度为1-α时,总体标准差的可信区间的算式为
例 某抑癌试验的对照组,小白鼠10只,瘤重方差为1.01,试估计总体方差。 本例n=10,s2=1.01,若求总体方差的95%可信区间,α=0.05,查x2界值表:x20.025,(10-1)=19.02,x20.975,(10-1)=2.70,按式(3)得
故对照组总体方差的点估计为1.01,95%可信区间为0.48~3.37。☚ 总体百分位数估计 最小二乘法 ☛ 00013209 |