| 释义 |
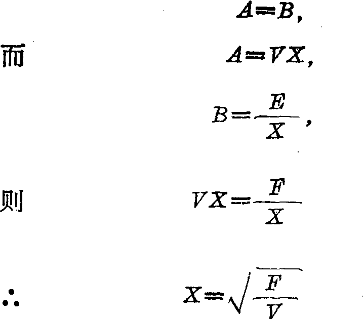
成本最小点分析法指对某项成本所包含的两个因素的数值随着业务量的增减发生相反方向的变化时,计算分析这两个因素的合计数达到最小点时的业务量进行分析的方法。 设某项成本包括成本A和成本B两个因素,A成本与业务量X成正比例的变化,B成本与X成反比例变化,则A成本和B成本相等时的值为最小的合计成本点。此时的业务量为最优业务量,其计算公式为: 
成本最小点模型可应用于生产经营的许多方面。例如: (1) 决定采购材料的最优批量。如以X为订货批量时,则保管费为成本A,订货费为成本B。 (2) 决定每一工人看管机器的最优台数。以看管台数为X,则机器停车损失为成本A,工人停工损失为成本B。 (3) 决定间接生产工人人数。在间接生产工人人数X与直接生产工人的工作时间有关时,间接生产工人停工费用是成本A,直接生产工人的停工费用是成本B。 |