网站首页  词典首页


请输入您要查询的字词:

 

字词 中和法的测定计算
类别 中英文字词句释义及详细解析
释义 中和法的测定计算

[说明]白水中填料为碳酸钙时可采用中和法。

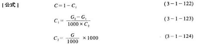
[测定方法]称取1000g白水试样(同时称样测浓度)置于烧杯中边搅拌边加入1∶2盐酸溶液,中和至水中不再发生气泡为止。用已知重量的3号玻璃过滤器或滤纸过滤,若滤液混浊可以反复过滤至滤液澄清为止。用蒸馏水洗净杯壁附著的纤维,并洗涤至无酸性反应为止,将玻璃过滤器或滤纸在105士3℃干燥之。

式中 C-白水中碳酸钙含量(%)

C1-白水中纤维含量(%)

G1-空坩埚重(g)

G2-绝干纤维及空坩埚重(g)

C2-白水浓度(%)

G-白水残渣重(见灰化法)

随便看

 

离鸟网收录3541549条中英文词条,其功能与新华字典、现代汉语词典、牛津高阶英汉词典等各类中英文词典类似,基本涵盖了全部常用中英文字词句的读音、释义及用法,是语言学习和写作的有利工具。

 

Copyright © 2004-2024 vtrois.com All Rights Reserved
更新时间:2026/4/6 18:19:41