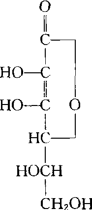
抗坏血酸ascorbic acid又称维生素C(vitamin C) 。L-2-烯醇己糖酸内酯。一种水溶性维生素。白色结晶,有酸味,在中性或碱性溶液中极易被氧化,微量金属离子(如Cu2+、Fe2+等)促进其氧化,遇光、热均不稳定。分子中两个烯醇式羟基脱去氢被氧化成脱氢抗坏血酸,后者也可加氢还原成抗坏血酸,在代谢反应中可作氢的载体。在生物体内,除了作二氢叶酸还原酶和脯氨酸羟化酶的辅酶,以及与谷胱甘肽、NADP+的氧化还原反应偶联进行细胞呼吸外,主要通过自身的氧化使许多需要有自由巯基的蛋白或酶处于还原状态,从而维持其生物活性。对细胞间质的形成和维持牙齿、骨骼、血管和肌肉的正常功能,以及增强机体对疾病的抵抗力有重要作用。坏血病是其典型缺乏症。新鲜水果和蔬菜中含量丰富,尤其在番茄、橙、橘、鲜枣、辣椒、刺梨和猕猴桃中含量极多。 
抗坏血酸即“维生素C”。 抗坏血酸ascorbic acid即维生素C。 |