网站首页  词典首页


请输入您要查询的字词:

 

字词 指数分布
类别 中英文字词句释义及详细解析
释义
指数分布

指数分布zhishu fenbu

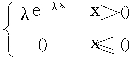
若连续型随机变量X的概率密度为

其中λ> 0为常数,则称X服从参数为λ的指数分布。这时随机变量X的分布函数为


它们的图形如下。

☚ 均匀分布   正态分布 ☛

指数分布Exponential Distribution

一种连续概率分布。用来表示独立随机事件发生的时间间隔。若随机变量X的概率密度为f(x)=,则称x服从参数为λ的指数分布。

随便看

 

离鸟网收录3541549条中英文词条,其功能与新华字典、现代汉语词典、牛津高阶英汉词典等各类中英文词典类似,基本涵盖了全部常用中英文字词句的读音、释义及用法,是语言学习和写作的有利工具。

 

Copyright © 2004-2024 vtrois.com All Rights Reserved
更新时间:2026/4/9 12:11:07