网站首页  词典首页


请输入您要查询的字词:

 

字词 放射性核素标记物的化学合成
类别 中英文字词句释义及详细解析
释义
放射性核素标记物的化学合成

放射性核素标记物的化学合成

放射性核素标记物的化学合成,是以核素(如35S)或其简单化合物(如[35S]硫脲)为原料,通过适当的化学合成途径,将核素或含有核素的集团(如[14C]甲基)引入被标记物中,从而获得所需要的标记物的一种方法。它在标记物制备的各种方法中是最重要和最常用的方法。
核素标记物的化学合成,主要是核素的有机化学合成。但它与一般的有机化学合成有许多不同处,而所有核素标记物的有机合成又有共同的特点: 标记原料经常都用核素本身和几种简单的核素标记物; 要按照使用需要的标记位置设计合成方法,将标记核素引入所需位置;当有不同合成途径可供选择时,在可能条件下,尽量选用标记产率最高的途径; 要考虑标记核素所在位置的化学稳定性和生物稳定性,及标记后的同位素效应;从使用上对产品特性的要求出发,设计具体实验方法;为获得高比放射性产品,以适应使用的不同要求,合成时最好用无载体的标记核素原料,并在整个合成过程中,不使标记核素遭受稀释等。
放射性核素标记物有机合成 (稳定核素标记物的有机合成参见“稳定核素标记物的制备”条)的基本内容,是放射性物质的微量或超微量有机合成。但因实验中的放射性操作量大,而且使用的都是放射β或γ线的放射性原料,因此,要根据所用放射性核素的衰变特性(射线种类、射线能量和半衰期)及放射性活度,放射性物质的物理状态及操作方式等,采取相应的安全防护措施,以防止可能对实验室和环境造成的污染,以及对操作者造成内照射和外照射的危害。例如使用符合防护要求的专门实验室、操作箱、手套箱、屏蔽与机械操作装置,专用实验仪器设备,放射性监测设施以及个人防护用品等。此外,还应制订全面具体的安全防护操作规程,对实验室排放的气体、废水和废物,按照国家颁布的放射性安全防护条例进行处理和安全监测。
放射性核素有机合成的化学操作量,主要取决于核素本身的比放射性、所需标记产品的比放射性和总放射性。根据核素的最高比放射性及其基本原料的克分子量计算,每100mCi的14C、3H、35S、125I和131I的质量或体积依次为<100mg、<40μl、<10μg、<7μg和<1μg。因此,这类合成基本上都是微量或超微量的有机合成,经常见不到有形产品。
设计合成方法力求在合成的最后阶段引入标记核素,避免高压、高温反应,尽可能选用固态放射性原料(如以甲酸钠取代甲酸),使用高纯度的非放射性试剂或对试剂进行必要的精制处理,在反应中适当扩大一般试剂对放射性试剂的投料比值,在不影响以后反应的前提下不进行中间产物的分离或精制,对整个合成中放射性核素的去向作全面追踪,对放射性副产物和废物作出回收或处理的合理安排,设计有效的产品分离、精制方法,以保证产品的化学纯度和放射化学纯度,对产品的各项特性指标进行检测。临床用放射性药物还必须保证无菌、无热原,并符合体内用药的要求。尽可能采取温和的方法进行产品的加工处理,如用微孔薄膜过滤法制取无菌产品溶液,以冷冻干燥法将产品溶液转变为固体等。为降低产品的辐射自分解速度,应选用适宜溶剂、稳定剂或游离基清除剂,将成品制成低放射性浓度的溶液并确定最适宜保存条件(如温度,是否充氮、避光和包装材料的质量等)。产品精制的最好方法之一是高效液相层析法(即高压液相层析法),此外,纸层析,薄层层析,电泳,离子交换,分子筛和柱层析等也是一些行之有效的方法。产品的放射化学纯度测定,主要用纸层析谱或薄层层析谱扫描法。但是,应至少选用三种不同性质的溶剂系统层析检测后,再用其他方法加以佐证,方能对放射化学纯度作出最后结论。凝胶层析柱扫描法对于放射性金属络合物的精制和质量鉴测特别有用。产品的化学纯度测定,经常使用紫外、红外等吸收光谱法,纸层析法或其他特殊方法。放射性核素纯度的要求,对临床药物也很重要,但其检测应在核素生产单位解决。
14C标记物的化学合成 由反应堆得到的14C原料是14CO2 (碳酸钡或碳酸钠)。由它经一步反应得到甲醇、氰化物、乙酸和乙炔等。它们与由氰化物制得的甲酸以及由甲醇制得的甲醛、卤代甲烷等,就是14C标记物合成的基本原料。它们的制备方法和应用举例如下:
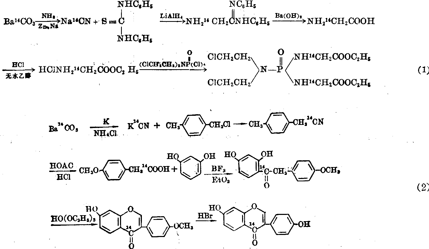
[14C]氰化物的制备和[2-14C]甘氨酸乙酯磷酰氯氮芥(1)与[4-14C]葛根苷元(2)的合成


[1-14C]乙酸的制备与聚[α-14C]苯乙烯马来内酰亚胺N,N二甲丙胺氮氧化物的合成
[14C]乙炔的制备与[3,4-14C]谷氨酸的合成


[14C]甲酸的制备与N-[甲酰-14C]醋酸棉酚的合成



[14C]甲醛的制备与[甲基-14C]甲基蛋白质的合成


使H14CHO与蛋白质的游离氨基反应,产生的-N=14CH2结构用硼氢化钾还原,得[甲基-14C]甲基蛋白质



[14C]碘甲烷的制备与[甲基-14C]肌酸的合成


氚标记物的化学合成 氚标记物的原料是氚气 (丰度100%,29.2Ci/matom)和氚水(商品丰度一般<10%,<100Ci/ml)。氚标记物的主要化学合成法如下:
催化加氚: 将待标记分子的特定标记位置引入相应的烯、炔、醛、酮或腈基,作为标记前身,用特异性催化剂,在不含有不稳定性氢的溶剂内,用氚气催化还原。如[9α,11ξ-T]雌酚酮的合成

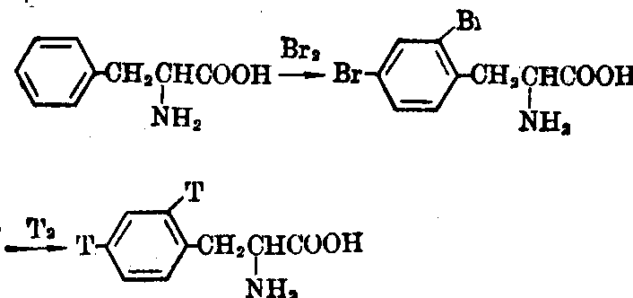
催化氚卤置换:制备待标记物的卤代前身,再用氚气催化还原,卤被氚取代后,即得标记产品。如[2,4-T]苯丙氨酸的合成


金属氚化物还原: 以硼氚化钠、硼氚化钾等为还原剂,使待标记物的不饱和前身还原加氚,如由甲醛与蛋白质游离氨基反应后的—N=CH2结构,用硼氚化钾还原为—NHCH2T,得[甲基-T]甲基蛋白质。反应式见[甲基-14C]甲基蛋白质的合成。
为了合成高比放射性的多标记产品,可以合并使用不同方法。如[2,4,6,7-T]雌二醇的合成


各种方法合成的氚化产物,都要在去除不稳定氚以后,再分离精制,并经氚核磁共振谱或化学降解法分析,以证实是否为预期定位标记产品。氚标记时的放射性操作量大,防护监测较难,污染不易去除。为获得比放射性尽可能高的产品,需把标记前身中含不稳定氢的集团封闭起来(如将羟基、羧基转变为醚或酯等),待加氚以后再解除封闭(将由羟基、羧基转变成的醚和酯又恢复成原来的羟基和羧基等)。在各类氚标记方法中,化学合成法难度较大,但标记产品的标记位置明确,标记氚稳定可靠,比放射性高,产品质量易于控制。
在医学、生物学基础研究中使用的放射性核素主要是14C、2H、35S、22p和125I等几种,其中最常用的是14C和3H。而2H和125I也是临床体外放射分析用的主要核素。
加速器生产的短半衰期核素应用于临床时,必须进行快速标记和鉴定(参见“短半衰期核素标记物的快速制备和快速鉴定”条)。
外来标记和放射性药物的化学合成 外来标记时,由于标记核素与被取代核素间原子半径和质量的差异,可能会影响母体化合物的构型,破坏标记分子的生物活性等。迄今,临床使用的放射性药物基本上都是诊断用试剂。由于生物体内主要元素(C、H、O、N、S等)都没有寿命长短合适的发射γ线的核素,所以临床用的放射性药物多用外来核素标记。目前使用的主要是卤素和一些金属以及个别非金属元素的适用核素。其中最重要的是碘和锝的放射性核素。
碘标记物的化学合成 可用于临床的放射性碘核素有五种,其中最理想的是123I(见“短半衰期核素标记物的快速制备和快速鉴定”条)。但价格较贵,尚未作为商品大量供应。目前使用的主要是125I和131I。碘既能标记亲脂性物质,又能标记亲水性物质,如在氯仿内制取6-[131I]碘代胆固醇和在水溶液内标记蛋白质。碘标记蛋白质(包括肽类)的化学合成法主要有两类,即直接碘化法和缀合标记法。前者是在碱性溶液内,将碘氧化后,直接引入蛋白质或肽的酪氨酸苯环的3,5位上。这类方法有氯胺-T法、氯化碘法、次氯酸盐法、氯气扩散法、乳过氧化酶法和不同的电解法等。联接标记法,是将碘标记的试剂结合到蛋白质分子上,如用氯胺-T法制取标记的N-琥珀酰亚胺基-3(4-羟基,5-[125I]碘代苯)丙酸酯,而后使之与蛋白质的游离氨基缩合。这类标记的碘核素不直接连在蛋白质分子上,因此又叫非直接碘化法。其反应式为:




在非直接碘化法中,蛋白质不与放射性碘的溶液、氧化剂和还原剂接触,从而避免了它们对蛋白质生物活性的影响,有利于制备放射免疫分析用的标记蛋白质激素。若肽的酪氨酸碘化会破坏实验所需生物活性,或肽中无酪氨酸时,都只能使用此类方法。由于引入碘原子可能影响蛋白质的生物活性,而一个蛋白质分子有可能引入多个碘原子,因此,应以不影响使用目的为标准,控制引入每个蛋白质分子中的平均碘原子数,即最大取代水平。此水平的高低因标记方法而异。例如标记血清白蛋白时,氯化碘法和电解法的最大取代水平分别是1和10,而用氯化碘法标记胰岛素时,用于激素活性和免疫活性测定的最大水平各为1和7。一般说来,在能够满足使用所需比放射性的前提下,碘取代平均水平以1为宜。
非蛋白质的碘标记,可利用相应的有机化学反应来完成,如通过碘的烯键加成反应,以制取放射性碘标记的脂肪酸等。
放射性金属核素标记物 在放射性药物标记用的核素中,品种数目最多的是金属核素如99mTc、113mIn、67Ga、57Co和51Cr等。它们的正离子可在适宜条件下,直接与许多抗生素(如博莱霉素)、稳定络合剂(如乙二胺四乙酸)或其衍生物[如双功能基螯合剂(1-(对重氮苯)乙二胺四乙酸)]反应,生成稳定的标记络合物。有时金属核素也可直接用以标记各种蛋白质或细胞。这些标记络合物、蛋白质或细胞等,可以用作具有特定生物活性的显象剂或肿瘤定位剂。
☚ 核素标记物   放射性核素标记物的生物合成 ☛
00018677
随便看

 

离鸟网收录3541549条中英文词条,其功能与新华字典、现代汉语词典、牛津高阶英汉词典等各类中英文词典类似,基本涵盖了全部常用中英文字词句的读音、释义及用法,是语言学习和写作的有利工具。

 

Copyright © 2004-2024 vtrois.com All Rights Reserved
更新时间:2026/4/8 2:05:16