| 释义 |
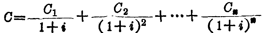
效本比法即“效益成本比较法”。是对比分析工程项目的效益和成本的方法。将方案逐年的支出(现金流出)和逐年的收益(现金流入)贴现成现值,并进行比较,以此比值评价方案的优劣。 以C1,C2,…,Cn作为相应各年的成本,i为贴现率,n为计算期,则逐年支付或收入的现值,为各成本现值相加,可写成: 
效益的现值E可写成:
效本比是效益的累计总现值与成本的累计总现值之比,可表示为E/C。如果比值E/C>1,说明逐年收益现值的总和大于逐年开支现值的总和,方案可取; 若比值E/C<1,说明逐年收益现值小于逐年支出现值的总和,方案不可取; 效本比法,较适用于贷款的工程项目,分析项目建成投产后,其收益能否在规定的年限内偿还贷款,并分折项目盈利的可能性。 |