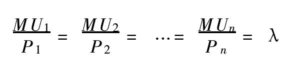
效用最大化xiào yòng zuì dà huàмаксимиз ция полéзности效用最大化Utility Maximization在商品价格和消费者收入既定的条件下,通过对商品组合进行调整,以实现预算约束下最大效用的过程。 效用最大化消费者在货币收入和商品价格既定的情况下,购买一定数量的商品(或服务)而获得最大满足。研究消费者均衡就是研究消费者把有限的货币收入用于购买何种商品、购买多少能达到效用最大。基数效用论认为,当消费者收入固定且市场上各种商品价格已知时,消费者实现效用最大化的均衡条件是:消费者购买各种商品的边际效用与其价格之比相等,即等于同一个常数。假定消费者总收入已定,购买几种商品(商品1、商品2…商品n),价格分别为P1、P2…Pn ,边际效用分别为MU1、MU2…MUn,则消费者均衡条件可用下式表示:  如果MU1/P12/P2,则说明消费者用同样的钱购买商品1所得到的边际效用小于购买商品2的边际效用,这样消费者会调整购买这两种商品的数量,即减少对商品1的购买而增加对商品2的购买。由于边际效用递减规律的作用,商品1的边际效用会随其购买量的不断减少而增加,而商品2的边际效用会随其购买量的不断增加而减少,当MU1/P1=MU2/P2时,消费者获得最大的效用。同理,当MU1/P1>MU2/P2时,消费者会作出相反的购买组合调整,最终使MU1/P1=MU2/P2,消费者获得最大效用。效用最大化 效用最大化utility maximization指消费者在货币收入一定的情况下,用货币收入购买商品和劳务达到的最大满足程度。例如,序数效用论者认为,无差异曲线和预算约束线的切点是效用最大化的点。 ☚ 拟线性效用函数 效用最大化条件 ☛ 00000107 |