网站首页  词典首页


请输入您要查询的字词:

 

字词 敌草隆
类别 中英文字词句释义及详细解析
释义

敌草隆diuron

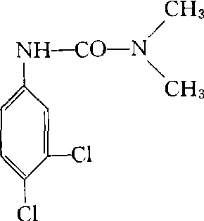
内吸传导型土壤处理为主选择性脲类除草剂。商品名DCMU、Diurex、DMU、Karmex。化学结构式:

杜邦公司(Du Pont)1954年首先开发。
性能 纯品为白色无臭固体,熔点为158~159℃,分解点为180~ 190℃,50℃时蒸气压为4.13×10-4帕。25℃时在水中溶解度为42毫克/升,在烃类中溶解度低,在丙酮中溶解度为5.3%,在苯中溶解度0.12%。在空气中稳定,无腐蚀性,不易燃,遇强酸强碱易分解。低毒,大白鼠急性口服LD50为3400毫克/千克。对大白鼠眼和粘膜有刺激作用,两年饲喂试验,每千克饲料对大鼠的无作用剂量为250毫克/千克,对狗的无作用剂量为125毫克/千克。8天饲喂试验,日本鹌鹑、绿头鸭的 LC50>5000毫克/千克。鱼类TLm为3~60毫克/升。抑制杂草的光合作用,使杂草饥饿死亡。低剂量下作为选择性除草剂,高剂量情况下则为灭生性除草剂。杀草谱广、持效期2~3个月或更长。
用于棉花、玉米、高粱、甘蔗、水稻、茶园、果园、葡萄园以及非耕地。防治马唐、狗尾草、稗草、旱稗、野苋菜、蓼、藜、莎草等一年生禾本科杂草和阔叶杂草,还可防治水田眼子菜等杂草。水稻分蘖时,公顷用有效成分(下同)375~480克,毒土法撒施。棉花在播种后2~5天,每公顷用600~750克; 出苗后,严禁喷雾,在棉花行间可用毒土法撒施。玉米、高粱等旱地使用,要加深播种深度,扩大位差选择,公顷用600~750克。茶园、果园、葡萄园,公顷用750~ 900克进行土壤处理。灭生性除草每公顷用1200~12000克,多年生杂草越多,用量就越大。麦套棉田不宜使用,以免对小麦产生药害。砂质土上要降低用药量,粘土上施药量酌增。

敌草隆diuron

取代脲类内吸除草剂。化学名称:3-(3,4-二氯苯基)-1,1 -二甲基脲。化学结构式如下。纯品为白色无臭结晶,熔点为158~159℃,50℃时蒸气压为413.3×10-6Pa。几乎不溶于水,在烃类中溶解度低,在热的有机溶剂中溶解度增加。对氧化与潮湿稳定,在常温和中性条件下稳定,加温并在较强的酸性或碱性条件下水解速度加快。敌草隆具有一定的触杀活力,可被植物的根和叶吸收,以根部吸收为主。植物吸收药剂后,随蒸腾流传导到植物叶片中,抑制光合作用的希尔反应,致使叶片失绿,叶尖和叶缘褪色,进而发黄枯死。敌草隆在低剂量情况下,可作为选择性除草剂使用,高剂量下则可作为灭生性除草剂。敌草隆适于水稻、棉花、玉米、甘蔗及果、胶、桑、茶园使用,防除稗草、马唐、狗尾草、蓼、藜及眼子菜等。对人、畜低毒,大鼠急性口服LD50为3 400 mg/kg,高浓度时对眼和黏膜有刺激作用。

随便看

 

离鸟网收录3541549条中英文词条,其功能与新华字典、现代汉语词典、牛津高阶英汉词典等各类中英文词典类似,基本涵盖了全部常用中英文字词句的读音、释义及用法,是语言学习和写作的有利工具。

 

Copyright © 2004-2024 vtrois.com All Rights Reserved
更新时间:2026/4/8 0:04:34