网站首页  词典首页


请输入您要查询的字词:

 

字词 敌鼠
类别 中英文字词句释义及详细解析
释义

敌鼠diphacinone

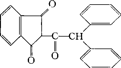
广谱抗凝血茚满二酮类杀鼠剂。化学结构式:

美国维西克尔化学公司和厄普约翰公司(Velsicol Chemical Corp.and pjohn Co.)最早合成。1952年科雷尔(J.T.Correll)等人报道了它的杀鼠活性。
性能 原药为黄色结晶,熔点145~147℃,无味,无腐蚀性。25℃时蒸气压13.7纳帕。338℃分解。溶解度(克/千克): 水0.0003,丙酮29,氯仿204,乙醇2.1,庚烷1.8,甲苯73,二甲苯50。酸性,可形成水溶性碱金属盐。敌鼠钠为淡黄色粉末,在水中溶解度为6.5克/千克,不溶于苯和甲苯,化学性质稳定,可长期保存。敌鼠在水中阳光照射下迅速水解。敌鼠急性口服LD50(毫克/千克): 大鼠3,狗3~ 7.5,猫14.7,猪150,野鸭3158。急性经皮LD50对大鼠<200毫克/千克。对白鼠慢性LD50为0.1毫克/千克·天。对虹鳟96小时接触LC50为2.8毫克/升。埃姆斯(Ames)试验无诱变活性。此药对人、畜、家禽毒性较低,无二次中毒现象。投放毒饵后3天鼠开始死亡,第5天死亡最多。鼠中毒后内出血,死前行动迟缓。
应用 敌鼠、敌鼠钠均可使用。杀鼠谱广,可用于防治室内和田野各类老鼠。室内使用毒饵浓度0.025~0.05%,田间为0.2~0.3%。灭无水源的仓库鼠可用0.05%毒水。每天投毒饵一次,连投3~ 5天,吃多少补多少,吃光加倍,保证毒饵充足,收效才好。注意安全,严防误食。可用维生素KI解毒。

敌鼠diphacinone

又称野鼠净、敌鼠钠盐。第一代广谱抗凝血型杀鼠剂。化学名称:2-(2,2-二苯基乙酰基)-1,3-茚满二酮。化学结构式如左。原药为黄色无臭针状结晶。密度1.281(25℃),熔点145℃,微溶于水,溶于丙酮、乙醇,对水及弱氧化剂稳定。靶谱广,适口性好,作用缓慢,无拒食作用,效果佳。竞争性的抑制维生素K,阻碍合成血液中的凝血酶原,使血渗性增强,导致皮下、内脏、胃肠内出血而缺氧休克致死,中毒潜伏期4~6天。大鼠急性口服LD50为3 mg/kg。对猫、狗、兔敏感,会发生二次中毒。解毒剂为注射维生素K。

敌鼠diphacin

系一种杀鼠药。本品为抗凝血杀鼠药,可使鼠内脏、皮下出血而死亡。用时以10%水溶液制成毒饵毒鼠,也可用0.05%水溶液诱鼠饮用致死。

随便看

 

离鸟网收录3541549条中英文词条,其功能与新华字典、现代汉语词典、牛津高阶英汉词典等各类中英文词典类似,基本涵盖了全部常用中英文字词句的读音、释义及用法,是语言学习和写作的有利工具。

 

Copyright © 2004-2024 vtrois.com All Rights Reserved
更新时间:2026/5/25 21:36:23