网站首页  词典首页


请输入您要查询的字词:

 

字词 斐波那契数列
类别 中英文字词句释义及详细解析
释义
斐波那契数列

斐波那契数列feibonaqi shulie

是指1,1,2,3,5,8,13,….它的第1、2项均为1,从第3项起,它的每一项等于它的前面两项之和,即a1=1,a2=1,ai+2=ai+1+ai.其中i=1,2,….斐波那契数列是二阶线性递归数列,它的通项公式是


斐波那契数列有下列性质:
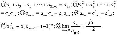
❶Sn=a1+a2+…+an=an+2-1;
❷a2+a4+a6+…+a2n=a2n+1-1;
斐波那契数列和下列有趣的数学问题联系着:假定一对大兔子每月能生出一对小兔子,而每一对小兔子经过一个月就可以长成一对大兔子,如果不发生死亡,且每次均生下一雌一雄,那么由一对大兔子开始,一年以后有多少对大兔子呢?斐波那契数列的各项就依次给出了每个月的大兔子的对数.
☚ 无界数列   斐波那契数 ☛
00012503
随便看

 

离鸟网收录3541549条中英文词条,其功能与新华字典、现代汉语词典、牛津高阶英汉词典等各类中英文词典类似,基本涵盖了全部常用中英文字词句的读音、释义及用法,是语言学习和写作的有利工具。

 

Copyright © 2004-2024 vtrois.com All Rights Reserved
更新时间:2026/4/7 0:26:03