网站首页  词典首页


请输入您要查询的字词:

 

字词 新古典区域经济增长模型
类别 中英文字词句释义及详细解析
释义
新古典区域经济增长模型

新古典区域经济增长模型neoclassical regional economic growth model

新古典区域经济增长模型是运用新古典学派的经济增长理论,以纯供给要素为出发点所建立起来的模式。它认为,在规模收益不变,存在完全竞争的产品和要素市场的前提下,区域经济长期增长来源于资本、劳动力和技术进步三个要素的区内供给率差异和区际流动。由于假定随着区域资本劳动率的提高,边际劳动生产率(以工资率表示)也提高,而边际资本生产率则降低。因而,资本与劳动力的域流向相反,即劳动力将由低工资区域流向高工资区域,而资本将由高工资区域流向低工资区域。其结果,区域间的差距将趋于缩小,区域经济将趋于均衡增长。
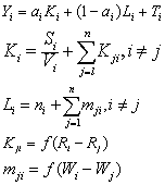
新古典区域经济增长模型可用如下方程式体系表示:


其中,Yi、Ki、Li、Ti分别为区域i的产出增长率、资本增长率、劳动增长率及技术进步增长率。ai为资本对收入的弹性系数,Si为收入储蓄率,Vi为资本产出率,Kji为资本每年从j区域流向i区域的数量占i区域资本存量的比例,mji为j区域向i区域每年净迁入人口占i区域总人口的比例,Ri、Rj分别为i区域、j区域的资本收益率,Wi、Wj分别为i区域、j区域的工资率,ni为i区域的人口自然增长率。
☚ 区域经济增长模型   区域经济学 ☛
00002805
随便看

 

离鸟网收录3541549条中英文词条,其功能与新华字典、现代汉语词典、牛津高阶英汉词典等各类中英文词典类似,基本涵盖了全部常用中英文字词句的读音、释义及用法,是语言学习和写作的有利工具。

 

Copyright © 2004-2024 vtrois.com All Rights Reserved
更新时间:2026/4/5 17:31:41