网站首页  词典首页


请输入您要查询的字词:

 

字词 时间序列法
类别 中英文字词句释义及详细解析
释义
时间序列法

时间序列法

一种统计分析方法,在宣传工作中根据一定时间的数据序列预测未来发展趋势的方法。亦称时间序列趋势外推法。这种方法适用于处于连续过程中的事物的预测。它需要有若干年的数据资料,按时间序列排列成数据序列,其变化趋势和相互关系要明确和稳定。供预测用的历史数据资料有的变化表现出比较强的规律性,由于它过去的变动趋势将会连续到未来,这样就可以直接利用过去的变动趋势预测未来。但多数的历史数据由于受偶然性因素的影响,其变化不太规则。利用这些资料时,要消除偶然性因素的影响,把时间序列作为随机变量序列,采用算术平均、加权平均和指数平均等来减少偶然因素,提高预测的准确性。常用的时间序列法有移动平均法、加权移动平均法和指数平均法。其公式如下:
(1)移动平均法:将收集到的预测对象过去状况的数据按时间顺序排列,计算出它们的平均值作为预测值。其公式为:

式中,X为算术平均值,即预测值。Xi为观察值(Xi=1、2、……n)。n为总体中的数据个数。∑为总和符号。
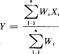
(2)加权移动平均法:人们在实践中发现距预测期近的数据对预测值影响较大,距离测期远的数据对预测值影响较小,所以需要根据各期实际值对预测值影响的大小给予不同的加权,并以其加权平均值作为下一期的预测值。其公式是:

式中,Y为加权平均数,即预测值。Xi为观察值(Xi=1、2、……n)。n为总体中的数据点数。Wi为各观察值对应的权数。
3、指数平均法:是对整个时间序列进行加权平均,并以此平均值作为下一期的预测值。这也是一种加权平均值,只是它对整个时间序列进行加权平均。其公式是:

式中,F1为第t期的指数平均值,即预测值。X1为第t期的实际观察值。F1-1为第1-1期的指数平均值。a为平滑系数。
☚ 邮发合一   时间统计法 ☛
00008943
随便看

 

离鸟网收录3541549条中英文词条,其功能与新华字典、现代汉语词典、牛津高阶英汉词典等各类中英文词典类似,基本涵盖了全部常用中英文字词句的读音、释义及用法,是语言学习和写作的有利工具。

 

Copyright © 2004-2024 vtrois.com All Rights Reserved
更新时间:2026/4/9 5:30:21