网站首页  词典首页


请输入您要查询的字词:

 

字词 中心矩
类别 中英文字词句释义及详细解析
释义 中心矩

指随机变量(x)对平均数(μ)的离差(x-μ)的k阶矩。

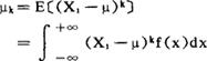
它的应用很广,常用μk表示。对离散型随机变量的k阶中心矩的一般公式为:

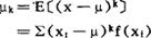
对连续型随机变量的k阶中心矩为:

一阶中心矩恒等于零,二阶中心矩即方差(σ2)。如果随机变量的分布对称于数学期望E(X),则它的所有奇数阶中心矩都等于零,故任意奇数阶中心矩可作为描述分布的非对称性的特征。通常利用三阶中心矩(μ3)表示分布的偏斜程度,除以σ3,消除单位影响,用μ3/σ3作为偏度。μ3/σ3>0,分布为右偏;μ3/σ3<0,分布为左偏;μ3/σ3=0,分布为对称。四阶中心矩(μ4)常用来描述分布的峰度高低的度量,并用μ4/σ4表示峰度的高低,当μ4/σ4>0称高峰态;μ4/σ4<0称低峰态。

正态分布的偏度和峰度都等于零。对随机变量的统计分布,类似的有相应的统计中心矩,其计算公式相仿,如k阶统计中心矩,fi为频率。

随便看

 

离鸟网收录3541549条中英文词条,其功能与新华字典、现代汉语词典、牛津高阶英汉词典等各类中英文词典类似,基本涵盖了全部常用中英文字词句的读音、释义及用法,是语言学习和写作的有利工具。

 

Copyright © 2004-2024 vtrois.com All Rights Reserved
更新时间:2026/4/7 13:06:45