网站首页  词典首页


请输入您要查询的字词:

 

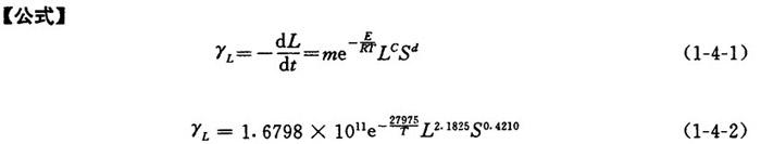
字词 中性亚硫酸盐法蒸煮脱木素反应的动力学方程
类别 中英文字词句释义及详细解析
释义 中性亚硫酸盐法蒸煮脱木素反应的动力学方程

【说明】早在1968年N·C·Schari对杨木木片中性亚硫酸盐蒸煮动力学进行了研究,在注意蒸煮温度和时间影响的同时,也考虑了蒸煮药液浓度对制浆反应的效应。chari认为脱木素速率与反应物浓度成比例。

式中 γL——脱木素速率[木素除去量g/(100g绝干木片·min)]

t——时间(min)

E——阿仑尼乌斯活化能(J/mol)

R——气体常数,8.32J/(mol·K)

T——反应温度(K)

L——木素浓度(g/100g绝干木片)

S——Na2SO3在蒸煮液中的浓度(g/L)(以Na2O计)

m、c、d——常数

随便看

 

离鸟网收录3541549条中英文词条,其功能与新华字典、现代汉语词典、牛津高阶英汉词典等各类中英文词典类似,基本涵盖了全部常用中英文字词句的读音、释义及用法,是语言学习和写作的有利工具。

 

Copyright © 2004-2024 vtrois.com All Rights Reserved
更新时间:2026/4/7 9:43:23