网站首页  词典首页


请输入您要查询的字词:

 

字词 昆虫保幼激素
类别 中英文字词句释义及详细解析
释义

昆虫保幼激素insect juvenile hormones

能调节自身生长发育及变态过程的昆虫激素,保幼激素的主要作用是抑制未成龄的幼虫变态,保持昆虫幼年期特征,使蜕皮后仍为幼虫。
简史 1936年,英国人威格尔斯沃思(V. B.Wigglesworth)将吸血蝽(Rhodnius prolixus)4龄若虫咽侧体植入取食一天的5龄若虫腹部,5龄若虫不能羽化为成虫,而超龄蜕皮为“6龄”若虫。这种试验首次证实,昆虫的蜕皮和变态受咽侧体分泌的保幼激素调节。1956年,美国的威廉斯(C.M.Williams)发现,惜古比天蚕蛾(Hyalophora cecropia)雄蛾腹部富含保幼激素,经乙醚提取获得了有保幼激素活性的油状物,并研究了它的化学和生物活性,提出用保幼激素作“第3代”杀虫剂的设想。1961年,施米莱克(P.Schmialek)从黄粉虫粪便和酵母中分离出保幼激素活性物,被鉴定为法尼醇和法尼醛。这 一发现促进了保

幼激素化学的发展。1965年,包沃斯(W.S.Bowers)等人根据惜古比天蚕蛾油的性质,模拟合成了一些类似物,其中10,11-环氧法尼酸甲酯:

与惜古比天蚕蛾油的化学性质及生物活性相似。后来证实它就是保幼激素Ⅲ(JH-Ⅲ)。1966年,捷克的斯拉马(K. Slama)和美国的威廉斯报道,无翅红蝽(Pyrrhocoris apterus)饲养时接触北美制造的一种衬纸后,变成了畸形虫或超龄幼虫,经调查此种纸是由松杉科植物纸浆制造的,他联想可能植物中也存在保幼激素类似物。后来从香枞树木中分离鉴定出保幼生物酮(juvabione)。1967年,有人从枞木中分离出去氢保幼生物酮(dehydrojuvabione),证明某些植物中存在具有

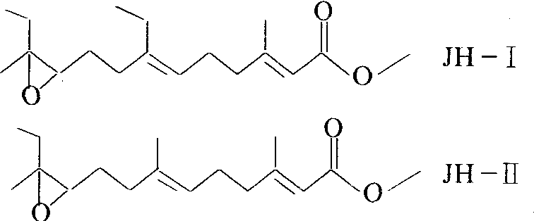
保幼激素活性的化合物。1967年,罗勒(H. Roller)等人鉴定出天蚕蛾的一种内源保幼激素的化学结构为(顺)-10,11-环氧-7-乙基-3,11-二甲基-(反,反)-2,6-十三碳二烯酸甲酯,定名为保幼激素Ⅰ(JH-Ⅰ)。1968年,迈耶(A.S.Meyer)等人从天蚕蛾分离鉴定出保幼激素Ⅱ (JH-Ⅱ)。化学结构式:

1973和1980年分别从烟草天蛾(Manduca sexta)分离鉴定出保幼激素Ⅲ(JH-Ⅲ)和保幼激素0(JH-0)。


20世纪70年代合成了上千种保幼激素类似物,筛选出了一些比天然保幼激素活性更高的化合物,进行了广泛的田间试验,一些品种成为商品,最早的一个是烯虫酯,1975年美国环保局许可登记防治蚊虫,80年代进展比较缓慢,但仍然出现了一些活性更高稳定性更好的化合物。如S-21149,是日本住友化学公司近期开发的肟醚类保幼激素,对尖音库蚊末龄幼虫毒力比烯虫酯高1万多倍。
1976年,包沃斯(W.S.Bowers)等人又从熊耳草中分离出早熟色烯Ⅰ和Ⅱ(prococene Ⅰ、Ⅱ),有抗保幼激素(anti-JH)活性,用于处理蝽象,使4龄幼虫不能正常发育成5龄幼虫,另外对许多昆虫都有阻止卵发育,停止性外激素分泌和停止捕食等作用,因此将这类抗保幼激素作为杀虫剂的新类型,有人称“第4代农药”。
中国1973年开始保幼激素的合成和应用研究,在养蚕业和防治害虫方面取得了一定成绩。合成的保幼激素类似物734-Ⅰ号、734-Ⅱ号,738、ZR-515、ZR-512和ZR-619用于养蚕业,增丝显著,有的已经实用化。
品种类型 从来源上看可分四类: ❶内源保幼激素。由昆虫自身产生的保幼激素,如保幼激素Ⅰ、Ⅱ、Ⅲ等,都可由昆虫自身产生并调节本身生长发育和变态。
❷外源保幼激素。来自昆虫体外的保幼激素。存在于植物体内的保幼生物酮,由酵母中提取出的法尼醇和法尼醛,人工合成的烯虫酯等都属此类。昆虫体内没有的由人工合成或其他生物合成具有保幼激素活性的物质称作保幼激素类似物。在研究天然保幼激素基础上,模拟或改造活性化合物的结构,并改善性能的人工合成保幼激素,称拟保幼激素。有应用价值和发展前途的主要有以下几类: ❶不饱和羧酸酯类。主要品种有烯虫酯、烯虫乙酯、烯虫炔酯;
❷醚类。主要品种有保幼醚、抗幼烯、保幼炔等;
❸肟醚类。如S-21149;
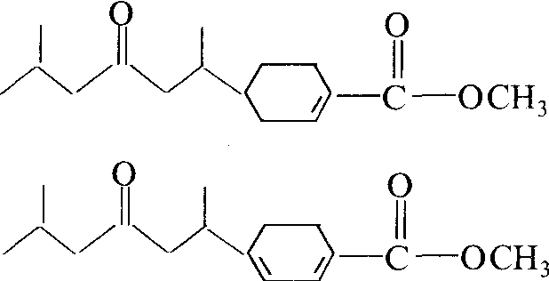
❹氨基甲酸酯类。如双氧威。化学结构见表。

主要拟保幼激素的化学结构


性能 内源昆虫保幼激素在幼虫期或若虫期主要起保幼作用,在成虫期主要是促进卵巢发育和卵的成熟。保幼激素由昆虫体内咽侧体分泌,幼虫期或若虫期分泌的保幼激素与前胸腺分泌的蜕皮激素共同调节昆虫生长和蜕皮过程,使蜕皮后仍为幼虫或若虫。进入末龄之后,保幼激素分泌量明显减少,大量分泌出的蜕皮激素使幼虫蜕皮后化蛹,使若虫蜕皮为成虫。进入成虫期后,保幼激素的分泌量又增多,促进卵巢的发育。
昆虫的不同生长发育阶段对保幼激素敏感性不一样。幼虫或若虫末龄最敏感,其他龄期敏感性差。埃及伊蚊4龄幼虫比3龄幼虫对烯虫酯的敏感性高100倍。蛹期较为敏感。在昆虫生长发育过程中,选取适当时间,用外源保幼激素处理,破坏昆虫体内正常的激素平衡,使之出现不正常变态,成虫不育或卵不能孵化,从而达到控制和消灭害虫的目的。烯虫酯处理过的蚊、蝇末龄幼虫能正常化蛹,但不能正常羽化,或者死亡,也可能羽化后翅不全,不能飞翔。德国小蠊末龄若虫经烯虫乙酯处理后,蜕皮后的成虫翅打卷,雌雄全不育。烯虫炔酯能使粉虱卵不孵化,成虫发育受到抑制,或者成虫不育。
昆虫保幼激素活性很高。天蚕蛾保幼激素使蜕皮成蛹—成虫中间型的剂量仅为0.1微克/蛹,引起50%的库蚊幼虫发育不正常的浓度为0.2毫克/升。已经实用化和最近开发的一些拟保幼激素比天然保幼激素的活性要高出成千上万倍。对尖音库蚊幼虫的IC50烯虫酯为0.48微克/升,对大蜡螟蛹的ID50烯虫酯为每蛹2.2微克,S-21149为每蛹2.4×10-5微克。
昆虫保幼激素和其类似物对哺乳动物毒性极低。绝大部分对天敌昆虫和蜜蜂比较安全,化学性质较稳定,持效期较长,也容易合成。
应用 昆虫保幼激素不能直接杀死昆虫,只能使昆虫死于变态过程,或通过不育或使卵不孵化减少子代种群数量,故作用缓慢,不能迅速控制暴发性害虫的危害,限制了在农业上的应用。目前主要用在以下几方面:❶防治卫生害虫。烯虫乙酯对德国小蠊活性高,能使雌、雄成虫都不育。不断用此药处理,半年到一年之后,可使其因不育而绝迹,对大型蜚蠊也有效。将烯虫酯制成缓释剂,防治跳蚤、蚊、蝇也很有效。
❷防治半翅目害虫。烯虫炔酯防治温室蚜虫和粉虱很有效,已在美国登记。但在大田应用稳定性不好。双氧威防治温室粉虱和介壳虫有效。
❸防治贮藏害虫。拟保幼激素对谷物、面粉、烟草等贮藏期间的鳞翅目害虫活性高,美国试用烯虫酯、双氧威对许多贮藏害虫都有效。
❹防治蚁类。烯虫酯饵剂能阻碍害幼虫正常变态,使蚁王不育,防治厨蚁等有效。也有用拟保幼激素治白蚁的报告。
❺增产蚕丝。将保幼激素或拟保幼激素如抗幼烯喷于蚕座(2~4微克/头)或喷于5龄蚕体(1~3微克/头)可抑制变态,使5龄幼虫期延长1天多,食量增加,个体增大,吐丝增加。一般可使万茧丝量增加15%左右。昆虫保幼激素与其他杀虫剂作用机理不同,能防治对其他杀虫剂产生抗药性的害虫,但也应注意对保幼激素抗药性的产生和发展,已经有这方面的报道。
抗保幼激素 保幼激素的颉颃物质。将昆虫幼虫的咽侧体摘除,昆虫就会减少龄期,过早地变态为成虫。这样过早成熟的雌成虫性腺发育不良,甚至不育,或者不能产生性外激素,有的提早进入滞育状态。一般能抑制咽侧体分泌作用的物质都可产生同样效应。事实上不仅咽侧体毒剂,其他保幼激素生物合成抑制剂,保幼激素受体竞争剂都可起抗保幼激素的作用。咪唑类化合物KK-42有很强的抗保幼激素活性。ETB、compactin、mevinolin等都有抗保幼激素活性。抗保幼激素对昆虫生长发育各阶段都有效,作为杀虫剂使用比保幼激素更优越。目前还处在研究阶段。一些抗保幼激素的化学结构如下:

随便看

 

离鸟网收录3541549条中英文词条,其功能与新华字典、现代汉语词典、牛津高阶英汉词典等各类中英文词典类似,基本涵盖了全部常用中英文字词句的读音、释义及用法,是语言学习和写作的有利工具。

 

Copyright © 2004-2024 vtrois.com All Rights Reserved
更新时间:2026/5/25 9:39:38