网站首页  词典首页


请输入您要查询的字词:

 

字词 普遍二次曲面不变量的完全系统
类别 中英文字词句释义及详细解析
释义
普遍二次曲面不变量的完全系统

普遍二次曲面不变量的完全系统pubian erci qumianbubianliang de wanquan xitong

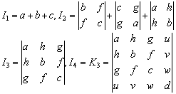
对于普遍二次曲面F (x,y,z)≡ax2 +by2 + cz2 + 2fyz+ 2gzx + 2hxy+2ux+2vy+2wz+d=0 (a2+b2+c2+f2+g2+h2≠0)有

是移轴和转轴下的不变量.

是转轴下的不变量. 且当矩阵A=的秩是1时,K1是移轴下的不变量;秩是2时,K2是移轴下的不变量.I1,I2,I3和I4叫做普遍二次曲面F (x,y,z)=0的基本不变量,K1和K2叫做条件不变量或半不变量.这六个不变量组成普遍二次曲面不变量的完全系统.利用它们可以完全确定曲面的形状,但不能确定曲面的位置.普遍二次曲面F (x,y,z)=0所表示的轨迹可用I1,I2,I3,I4,=K3及K1,K2判别如下表:

型的检验判 别 标 志曲 面名 称
中心型
I3≠0
I2>0
I1·I3>0
K3<0❶椭圆面
K3>0
❷无实轨迹 (虚椭圆面)
K3=0
❸点 (虚锥面)
I2≤0
或I1·I3≤0
K3>0
❹单叶双曲面
K3<0
❺双叶双曲面
K3=0
❻二次锥面
第一类无心型
I3=0,K3≠0
I2>0 (或K3<0)
❼椭圆抛物面
I2<0 (或K3>0)
❽双曲抛物面
第一类多心型
I3=0,K3=0,
I2≠0
I2>0I1·K2<0
❾椭圆柱面
I1·K2>0
❿无实轨迹 (虚椭圆柱面)
K2=0(11)直线 (一对相交虚平面)
I2<0K2≠0(12)双曲柱面
K2=0(13)一对相交平面
第二类无心型
I3=0, K3=0
I2=0, K2≠0
  (14)抛物柱面
第二类多心型
I3=0,K3=0
I2=0, K2=0
 K1<0(15)一对平行平面
K1>0(16)无实轨迹 (一对平行虚平面)
K1=0(17)一对重合平面
☚ 普遍二次曲面的主方向   仿射坐标系 ☛
00013388
随便看

 

离鸟网收录3541549条中英文词条,其功能与新华字典、现代汉语词典、牛津高阶英汉词典等各类中英文词典类似,基本涵盖了全部常用中英文字词句的读音、释义及用法,是语言学习和写作的有利工具。

 

Copyright © 2004-2024 vtrois.com All Rights Reserved
更新时间:2026/4/8 20:11:07