最大似然法method of maximum likelihood
设随机变量ξ具有密度函数f (x;θ1,θ2,…,θ1),此处x为ξ的观测值,θ1,θ2,…,θ1为参数。若(x1,x2,…,xn)是样本(ξ1,ξ2,…,ξn)的一个观测值,那么(ξ1,ξ2,…,ξn)落在点(x1,x2,…,xn)的邻域里的概率为

最大似然法的基本思想是:样本(ξ
1,ξ
2,…,ξ
n)一次落在点(x
1,x
2,…,x
n)的邻域里的概率,一定是所有

中最大的。
对回归模型Y=Xβ+u应用最大似然法时,似然函数为

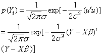
此处p(Y
i)表示Y
i的概率密度,若Y
i服从正态分布,则:

为求极值方便,对似然函数求对数

解方程组

得到最大似然估计量β=(X′X)
-1X′Y,
2=e′e/n(其中e=Y-X

)。
可以看出,β的最大似然估计量与最小二乘估计量完全相同,σ
2的最大似然估计量略有不同,它在小样本时是有偏估计量,大样本时是一致估计量。