最大社会福利产量Maximum Social Welfare Output
在一定偏好、技术和资源条件下使社会福利极大化的社会产量。考察一个两位消费者、两种产品、一种基本生产要素的经济。已知:
(1) 两位消费者的效用函数分别为:
U1=U1(x11,x12,x10-x1) (1)
U2=U2(x21,x22,x20-x2) (2)
式中,x
ij表示第i位消费者对j种产品的消费量,x
i0和x
i分别表示第i位消费者对基本要素的初始拥有量和供给量。
(2) 社会生产函数为:
F(x11+x21,x12+x22,x1+x2)=0 (3)
(3)社会福利函数为:
W=W(U1,U2) (4)
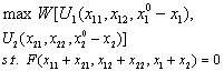
将效用函数(1)和 (2)代入 (4),使社会福利函数从效用空间转换到商品空间,在社会生产函数(3)约束下使其极大化,即:

由极大化一阶条件可求出最大福利产量x
11*+x
21*,x
12*+x
22*和要素供给量x
1*+x
2*,由它们可求出最大社会福利W
*。可以证明这样决定的资源配置是帕累托最优的。
〖参〗最大社会福利
社会福利函数