网站首页  词典首页


请输入您要查询的字词:

 

字词 最大累计概率决策分析法
类别 中英文字词句释义及详细解析
释义
最大累计概率决策分析法

最大累计概率决策分析法Maximal Probability Sum Decision

先制定一个收益水平,然后在所有可能的方案中计算每种方案的收益值大于或等于给定收益水平的自然状态的概率之和,最后选择累计概率和最大的方案为最优方案的决策方法。此方法又称为渴望水准准则,是以方案达到目标的可能性大小作为决策标准的方法。
例:某企业计划生产一种新产品。可能的生产方式为:A1大批量生产,A2中批量生产,A3小批量生产。而市场可能的状态为:Q1销量大,Q1销量一般,Q3滞销。三种状态发生的概率分别是0.3、0.5和0.2。各种状态下各方案的收益值见决策损益表11-22,求最优决策。


表11-22 单位:万元

状态
概率
损益
方案
Q1Q2Q3期望收益
0.30.50.2
A12012820×0.3+12×0.5+8×0.2=13.6
A216161016×0.3+16×0.5+10×0.2=14.8
A312121212×0.3+12×0.5+12×0.2=12

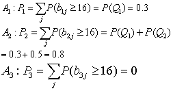
如果采用期望值概率决策分析法(参见“期望值概率决策分析法”),选择期望收益最大的方案作为最优方案,则在此应选择方案A2。若采用最大累计概率决策分法,需先制定一目标水准,设定目标水准为16万元,则各方案的累计概率分别为:


式中:Pi(i=1,2,3)——各方案符合条件的累计概率;bij(i=1,2,3;j=1,2,3)——第i方案在第j状态下时的损益。
选择累计概率最大的方案A1作为最优方案。可以看出,此方法的结果与使用期望值概率决策分析法的结果相同。实际上这种方法是期望值概率决策分析法的一个特例。此方法优点在于比期望值概率决策分析法灵活,但也存在着较强的主观随意性。
☚ 最大状态概率决策分析法   期望值概率决策分析法 ☛
00001178
随便看

 

离鸟网收录3541549条中英文词条,其功能与新华字典、现代汉语词典、牛津高阶英汉词典等各类中英文词典类似,基本涵盖了全部常用中英文字词句的读音、释义及用法,是语言学习和写作的有利工具。

 

Copyright © 2004-2024 vtrois.com All Rights Reserved
更新时间:2026/4/9 0:54:36