网站首页  词典首页


请输入您要查询的字词:

 

字词 有氧呼吸
类别 中英文字词句释义及详细解析
释义

有氧呼吸

见呼吸作用。

有氧呼吸aerobic respiration

见“呼吸作用”。

有氧呼吸

有氧呼吸youyang huxi

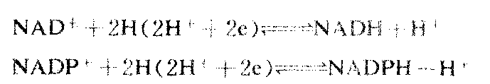
指物质在细胞内的氧化分解,具体表现为氧的消耗和二氧化碳、水及三磷酸腺苷(ATP)的生成,又称细胞呼吸。其根本意义在于给机体提供可利用的能量。细胞呼吸可分为3个阶段,在第1阶段中,各种能源物质循不同的分解代谢途径转变成乙酰辅酶A。在第2阶段中,乙酰辅酶A(乙酰CoA)的二碳乙酰基,通过三羧酸循环转变为CO2和氢原子。在第3阶段中,氢原子进入电子传递链(呼吸链),最后传递给氧,与之生成水;同时通过电子传递过程伴随发生的氧化磷酸化作用产生ATP分子。生物体主要通过脱羧反应产生CO2,即代谢物先转变成含有羧基(-COOH)的羧酸,然后在专一的脱羧酶催化下,从羧基中脱去CO2。细胞中的氧化反应可以“脱氢”、“加氧”或“失电子”等多种方式进行,而以脱氢方式最为普遍,也最重要。在细胞呼吸的第1阶段中包括一些脱羧和氧化反应,但在三羧酸循环中更为集中。三羧酸循环是在需氧生物中普遍存在的环状反应序列。循环由连续的酶促反应组成,反应中间物质都是含有3个羧基的三羧酸或含有2个羧基的二羧酸,故称三羧酸循环。因柠檬酸是环上物质,又称柠檬酸循环。也可用发现者的名子命名为克雷布斯循环。在循环开始时,一个乙酰基以乙酰-CoA的形式,与一分子四碳化合物草酰乙酸缩合成六碳三羧基化合物柠檬酸。柠檬酸然后转变成另 一个六碳三羧酸异柠檬酸。异柠檬酸脱氢并失去CO2,生成五碳二羧酸α-酮戊二酸。后者再脱去1个CO2,产生四碳二羧酸琥珀酸。最后琥珀酸经过三步反应,脱去2对氢又转变成草酰乙酸。再生的草酰乙酸可与另一分子的乙酰CoA反应,开始另一次循环。循环每运行一周,消耗一分子乙酰基(二碳),产生2分子CO2和4对氢。草酰乙酸参加了循环反应,但没有净消耗。如果没有其他反应消除草酰乙酸,理论上一分子草酰乙酸可以引起无限的乙酰基进行氧化。环上的羧酸化合物都有催化作用,只要小量即可推动循环。凡能转变成乙酰CoA或三羧酸循环上任何一种催化剂的物质,都能参加这循环而被氧化。所以此循环是各种物质氧化的共同机制,也是各种物质代谢相互联系的机制。三羧酸循环必须在有氧的情况下进行。环上脱下的氢进入呼吸链,最后与氧结合成水并产生ATP,这个过程是生物体内能量的主要来源。呼吸链由一系列按特定顺序排列的结合蛋白质组成。链中每个成员,从前面的成员接受氢或电子,又传递给下一个成员,最后传递给氧。在电子传递的过程中,逐步释放自由能,同时将其中大部分能量,通过氧化磷酸化作用贮存在ATP分子中。不同生物,甚至同一生物的不同组织的呼吸链都可能不同。有的呼吸链只含有一种酶,也有的呼吸链含有多种酶。但大多数呼吸链由下列成分组成,即:烟酰胺脱氢酶类、黄素蛋白类、铁硫蛋白类、辅酶Q和细胞色素类。这些结合蛋白质的辅基(或辅酶)部分,在呼吸链上不断地被氧化和还原,起着传递氢(递氢体)或电子(递电子体)的作用。其蛋白质部分,则决定酶的专一性。为简化起见,书写呼吸链时常略去其蛋白质部分。上图即是存在最广泛的NADH呼吸链和另一种FADH2呼吸链。图中用MH2代表任 一还原型代谢物,如苹果酸。可在专一的烟酰胺脱氢酶(苹果酸脱氢酶)的催化下,脱去一对氢成为氧化产物M(草酰乙酸)。这类脱氢酶,以NAD+(烟酰胺腺嘌呤二核苷酸)或NADP(烟酰胺腺嘌呤二核苷酸磷酸)为辅酶。这两种辅酶都含有烟酰胺(维生素PP)。在脱氢反应中,辅酶可接受1个氢和1个电子成为还原型辅酶,剩余的1个H+留在液体介质中。


图518 NADH、FADH2呼吸链


黄素蛋白类是以黄素腺嘌呤二核苷酸FAD或黄素单核苷酸(FMN)为辅基的脱氢酶,其辅基中含核黄素(维生素B2)。NADH脱氢酶就是 一种黄素蛋白,可以将NADH的氢原子加到辅基FMN上,在NADH呼吸链中起递氢体作用。琥珀酸脱氢酶也是一种黄素蛋白,可以将底物琥珀酸的1对氢原子直接加到辅基FAD上,使其氧化生成延胡索酸。FADH2继续将H传递给FADH2呼吸链中的下 一个成员,所以FADH2呼吸链比NADH呼吸链短,伴随着呼吸链产生的ATP也略少。铁硫蛋白类的活性部位含硫及非卟啉铁,故称铁硫中心。其作用是通过铁的变价传递电子:
Fe2+。这类蛋白质在线粒体内膜上,常和黄素脱氢酶或细胞色素结合成复合物。在从NADH到氧的呼吸链中,有多个不同的铁硫中心,有的在NADH脱氢酶中,有的和细胞色素b及c1有关。辅酶Q是 一种脂溶性


图519 有氧呼吸流程图(方框内为终产物)

醌类化合物,因广泛存在于生物界故又名泛醌。其分子中的苯醌结构能可逆地加氢还原成对苯二酚衍生物,在呼吸链中起中间传递体的作用。细胞色素是一类以铁卟啉(与血红素的结构类似)为辅基的红色或棕色蛋白质,在呼吸链中依靠铁的化合价变化而传递电子:目前,发现的细胞色素有b、c、c1、aa3等多种。这些细胞色素的蛋白质结构、辅基结构及辅基与蛋白质部分的连接方式均有差异。在典型的呼吸链中,其顺序是b→c1→c→aa3→O2。现在还不能把a和a3分开,而且只有aa3能直接被分子氧氧化,故将a和a3写在一起并称之为细胞色素氧化酶。生物界各种呼吸链的差异主要在于组分不同,或缺少某些中间传递体,或中间传递体的成分不同。如在分枝杆菌中用维生素K代替辅酶Q;又如许多细菌没有完整的细胞色素系统。呼吸链的组成虽然有许多差异,但其传递电子的顺序却基本一致。生物进化越高级,呼吸链就越完善。与呼吸链偶联的ATP生成作用叫做氧化磷酸化。NADH呼吸链每传递1对氢原子到氧,产生3个ATP分子。FADH2呼吸链则只生成2个ATP分子(参见“氧化磷酸化”条)。整个有氧呼吸过程可概括如图519。
☚ 中间代谢   无氧呼吸 ☛

有氧呼吸

见“生物学一般”中的“有氧呼吸”。


有氧呼吸

生活细胞在分子氧参与下,把某些有机物氧化分解,形成二氧化碳和水,同时释放能量的过程。其反应式为:C6H12O6+6H2O+6O2=6CO2+12H2O+能量(686千卡)。是高等植物呼吸的主要形式。参见“微生物”中的“有氧呼吸”。


有氧呼吸

在以有机物质为基质的生物氧化反应中,以分子氧作为最终电子受体的呼吸类型。许多微生物依靠这一过程获得生命活动所需的能量。

随便看

 

离鸟网收录3541549条中英文词条,其功能与新华字典、现代汉语词典、牛津高阶英汉词典等各类中英文词典类似,基本涵盖了全部常用中英文字词句的读音、释义及用法,是语言学习和写作的有利工具。

 

Copyright © 2004-2024 vtrois.com All Rights Reserved
更新时间:2026/4/7 18:38:03