主动轮首末齿齿顶高系数
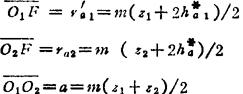
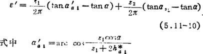
从动轮每次间歇运动,都应停止在厚齿对称线与两轮中心连线相重合的位置(参见图5.11-2)。为此,主动轮末齿齿顶圆半径应恰等于O1F(F是从动轮齿顶尖点),而从动轮齿顶圆按普通齿轮齿顶高系数确定,通常不作改变。 将△O1O2F各边长表达为齿轮参数,可得  应用余弦定理,经整理得主动轮末齿齿顶高系数:  其中 仅与z2和K有关(见式5.11-5、6、1),而 又是一定的标准值,所以 仅取决于主从动轮的完全齿数z1、z2及K值。 在图5.11-2中,首齿齿顶圆半径应等于或小于O1G,否则轮1齿顶尖点将与轮2齿顶圆弧相碰而发生齿顶干涉。由于轮2总是停止在对称位置,故O1G三O1F,即首齿的齿顶圆半径与末齿的相同,因而式(5.11-8)所计算的同样也是首齿齿顶高系数,首、末齿的 (以及 )为同一值。但是,在设计时,首齿的齿顶圆半径尺寸可取较大的负偏差,以确保不发生齿顶干涉;而末齿的齿顶圆半径尺寸可取不大的正偏差,以确保能将从动轮充分推到应有的锁止位置,并在齿顶留有磨损或修配裕量。 首末齿齿顶高系数,不可大于普通的齿顶高系数,即应满足:  上式确定了 的上限。其下限与首次重合度有关。所谓首次重合度,是指不完全齿轮机构的第一对齿(首齿与厚齿)啮合与第二对齿啮合的重合度。因首齿齿顶半径较小,故首次重合度小于其后各对相邻齿的重合度。首次重合度记为ε',其计算式为:  为避免第二对齿进入啮合时再次发生冲击,应满足: ε'>1 (5.11-11) 此式间接规定了 的下限。 |