网站首页  词典首页


请输入您要查询的字词:

 

字词 木质素
类别 中英文字词句释义及详细解析
释义

木质素lignin

由松柏醇、芥子醇和对-香豆醇经酶作用脱氢聚合而成的无定形天然高聚物。又称木素。木质素最早由舒尔兹(F.Schulze)于1857年提出,来源于拉丁语“lignum”。它是植物界中仅次于纤维素的一类最丰富和最重要的有机高聚物。广泛分布于具维管束的羊齿类植物以上的高等植物中。木质素与半纤维素一起作为细胞间质填充于胞间层以及细胞壁的微细纤维间。它能减少细胞壁的透水性,增加树木茎干的抗张强度,也能防止细胞受微生物侵蚀。木材的木质素含量为20~40%,禾本科植物为15~25%。
类型和分布 木质素按其结构分类为:愈疮木基型木质素,简称G木质素;愈疮木基—紫丁香基型木

质素,简称GS木质素。针叶树材木质素主要由愈疮木基丙烷构成,属于G木质素。阔叶树材木质素由愈疮木基丙烷和紫丁香基丙烷构成,属于GS木质素。禾本科木质素除由愈疮木基丙烷与紫丁香基丙烷构成外,还有较多的对-羟苯基丙烷,称为GSH木质素。受压木木质素中除有愈疮木基丙烷外,尚有相当数量的对-羟苯基丙烷,称为GH木质素。


木质素在植物中的分布不均一。随树种、树龄、取样部位的不同,木质素的含量和结构都有差别。据紫外显微镜和扫描电镜—能量分析仪(SEM-EDXA)测定,针、阔叶树材和禾本科各类细胞的胞间层与细胞角的木质素浓度都比次生壁高得多,其中以细胞角的浓度最高。由于次生壁的体积比胞间层和细胞角大得多,木材和禾本科木质素约有2/3分布于次生壁。阔叶树材不同类型的细胞中木质素的类型不同。木纤维中的木质素主要由紫丁香基丙烷构成,而导管单元的木质素主要由愈疮木基丙烷构成。
分离方法 按照木质素分离的原理可分为两类:❶溶解植物中的高聚糖,保留木质素残渣;
❷溶解木质素留下高聚糖。属十前法分离的木质素有硫酸木质素、盐酸木质素和高碘酸盐木质素等;属于后者的有磨木木质素(简称MWL)、纤维素酶解木质素(简称CEL)、二氧六圜木质素等,与制浆造纸工业有关的木质素磺酸、碱木质素和硫酸盐木质素也属于此类。基于天然存在于植物中木质素的活泼性、结构的复杂性以及与高聚糖间错综复杂的关系,至今未能分离出完全代表植物中木质素的分离木质素。用缓和方法分离的木质素如MWL和CEL常用于木质素结构的研究。
化学结构 包括元素组成、官能团、基本结构单元和结构单元间的连接、木质素的结构模型。
元素组成 木质素主要由碳、氢、氧三种元素组成。禾本科木质素除含上述元素外,还有少量氮元素。
官能团 木质素的主要官能团有甲氧基、羟基和羰基。甲氧基是木质素的特征官能团。存在于苯丙烷结构单元的苯环上。针、阔叶树材木质素中的甲氧基分别为14~16%和17~22%。木质素中的羟基有存在于苯环上的酚羟基和侧链上的醇羟基。羰基存在于结构单元的侧链上。禾本科木质素结构单元侧链上还有羧基。
基本结构单元和结构单元间的连接 木质素的基本结构单元为苯基丙烷,即

结构单元间通过醚键和碳碳键相连。其中以醚键为主。木质素中约有2/3~3/4的苯丙烷单元以醚键相连,其余为碳碳键。
醚键 木质素中醚键包括酚醚键、烷醚键和二芳醚键。以酚醚键为主。酚醚键中芳基-甘油-β-芳醚即β-O-4醚键数量最多,占木质素结构单元的一半左右(结构图中结构单元1-2, 2-3, 4-5, 6-7, 7-8和13-14)。其余为α-O-4醚键(结构单元3-4, 3-13和15-16)和二芳基醚键(结构单元8-10)。此外还有二烷基醚键(结构单元10-11)等。
碳碳键 主要的碳碳键有β-5(结构单元3-4),β-β(结构单元10-11), 5-5(结构单元5-6)和β-1(结构单元8-9)等。
禾本科木质素中还有对-香豆酸和阿魏酸与相邻结构单元侧链α或γ碳键的酯键。
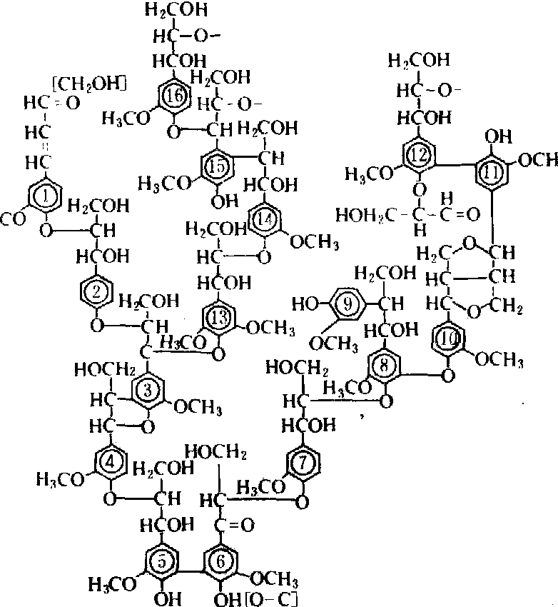
木质素的结构模型 针叶树材木质素结构模型有弗罗登伯尔(K. Freudenberg)1968年提出的由18个苯丙烷构成的云杉木质素模型,阿德勒(E. Alder)1977年提出的16个苯丙烷构成的云杉木质素模型(见图),神原彰1980年提出的28个苯丙烷组成的结构模型。最大的针叶树材木质素结构模型是格莱塞(W.Glasser)1981年提出由94个苯丙烷组成的火炬松木质素模型。尼姆兹(H.Nimz)1974年提出阔叶树材山毛榉木质素模型图,包括25个苯丙烷单元。上述各种模型都只能代表木质素结构的片断。目前已能较详细地描述针叶树材的木质素结构。阔叶树材及禾本科木质素的结构尚有许多不明了处。鉴于木质素细结构的复杂性和现行分析方法的某些缺陷,现有的木质素模型仍需修改。
物理性质 随木质素的来源、分离和纯化方法而异。分离木质素的颜色由浅乳酪色至深棕色。无光学活性。折射率1.61。密度1.25~1.40克/平方厘米。分子量为几百至几十万,具多分散性。木材磨木木质素分子量为10 000~20 000, 禾本科磨木木质素为7 000~9 000。分子形状近于球状或块状。不溶于常用的中性有机试剂。木质素具热塑性,其软化温度与木

云杉木质素结构片断图

质素的分子量和含水率有关。干的分离木质素软化温度 一般为120~200℃。木质素的热塑性与制浆造纸和木材加工工业有密切关系。
化学性质 木质素可发生侧链反应和芳核的选择性反应。侧链反应多与活性苯甲醇、烷醚键和芳醚键有关。芳核上主要发生卤化和硝化反应。与木质素改性有关的反应有甲酰化、氰乙基化、酚化和接枝共聚等。木质素的化学反应对制浆造纸尤为重要。木质素在制浆中发生侧链与氢氧化钠、硫化钠和亚硫酸盐的亲核反应,在漂白中与分子氯、二氧化氯、氧、次氯酸盐和过氧化氢发生各种亲电和亲核反应。在高温的酸性和碱性介质中还发生缩聚反应。
木质素能与脂肪族化合物、酚类、芳香胺类、杂环化合物和无机化合物发生显色反应。木质素的显色反应对于木质素的鉴别、分类和分布的研究以及特定结构基团的定量都有密切的关系。其中缪勒(Maule)反应和克劳斯—贝文(Cross-Bevan)反应常用来鉴别针、阔叶树材。
利用 木质素除可作为燃料或保留于纸浆中生产高木质素含量的纸浆外,可以其聚合物形式用作染料;油井、碳黑、水泥、混凝土等方面的分散剂;沥青、蜡和脂肪的乳化剂;动物饲料、石墨、铁矿砂、煤砖的粘合剂;水处理剂、工业上的清洁剂、防腐蚀剂及农业用微量营养剂等。在作为橡胶的增强剂、抗氧剂、可控农药、酚醛树脂代用品等方面也有应用价值。由木质素制备的低分子化学试剂主要有香草醛、二甲硫醚和二甲亚砜等。工业木质素来源丰富,价格低廉,对人畜无毒。木质素有广阔的利用前景。

木质素lignin

结构式如下的芳香族多聚合物(其中R1、R2或为H或为OCH3)。存在于高等植物的细胞壁中,是次生壁木质化组织的成分,填充纤维素的间隙。可被间苯三酚和盐酸染成鲜明的红色。藻类、苔藓和细菌等低等植物体内不存在。由苯丙烷类代谢产物——对香豆醇、松柏醇、白芥子醇,在过氧化物酶的催化下,相互聚合而成。可增加细胞壁的机械强度和降低其透性,有利于维持陆生植物直立的态势和水分、营养物质在输导组织中的运输,并能增强植株抵抗病原菌入侵的能力。

木质素

lignin

随便看

 

离鸟网收录3541549条中英文词条,其功能与新华字典、现代汉语词典、牛津高阶英汉词典等各类中英文词典类似,基本涵盖了全部常用中英文字词句的读音、释义及用法,是语言学习和写作的有利工具。

 

Copyright © 2004-2024 vtrois.com All Rights Reserved
更新时间:2026/5/25 23:52:00