| 释义 |
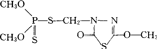
杀扑磷methidathion又称Supracide,C7S-13005。有机磷杀虫、杀螨剂。化学名称:O,O-二甲基-S-(5-甲氧基-1,3,4-噻二唑酮-3-基-甲基)二硫代磷酸酯。化学结构式如下。纯品有无色结晶,熔点39~40℃,蒸气压186 μPa/20℃,20℃密度1.495 g/cm3,溶解度20℃水中250 mg/L。丙酮690 g/kg,环己酮850 g/kg,乙醇260g/kg,辛醇538 g/kg,二甲苯600 g/kg,中性及微酸性中稳定,pH13时分解50%只需30min/25℃。对鳞翅目幼虫、蚜、螨、盲蝽有较好的防治效果。工业原药急性口服LD50大鼠52 mg/kg,经皮LD50为640 mg/kg,吸入LC50为3.6 mg/L(4 h),兔经皮LD50为200 mg/kg。 
|