网站首页  词典首页


请输入您要查询的字词:

 

字词 杀虫脒
类别 中英文字词句释义及详细解析
释义

杀虫脒chlordimeform

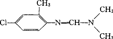
最早开发的甲脒类杀虫杀螨剂。化学结构式:

1966年联邦德国先灵公司(Schering AG)和瑞士汽巴公司(Ciba AG)开发。
性能 纯品为白色结晶,熔点32~35℃,沸点163~ 165℃ /1866.48帕。20℃时蒸气压为4.666×10-2帕。20℃时水中溶解度250毫克/升,在丙酮、苯、氯仿、乙酸乙酯、己烷、甲醇中溶解度大于20%。与酸作用形成盐。杀虫脒盐酸盐熔点225~227℃(分解),溶解度: 水大于5%,甲醇大于30%,氯仿1~2%,苯和己烷0.1%。酸性溶液中稳定,中性溶液中易析出结晶,遇碱分解。急性毒性中等。原药急性口服LD50对大鼠为340毫克/千克,急性经皮LD50对兔大于4000毫克/千克。其盐酸盐急性口服LD50对大鼠为270毫克/千克,急性经皮LD50对家兔大于4000毫克/千克。慢性毒性属高毒。杀虫脒及生产用中间体和代谢产物邻甲苯胺和对氯邻甲苯胺对小鼠有致癌作用,对人体有潜在的致癌危险性,很多国家已禁止生产和使用。对鱼类、蜜蜂、害虫天敌影响小。对家蚕有毒。有胃毒、触杀、拒食作用,也有一定杀卵和内吸传导作用,残效较长。
应用 用于防治棉花和水稻害虫。❶防治棉叶螨、棉铃虫、棉红铃虫等。每公顷用25%水剂2250~3000克对水喷施。
❷防治水稻二化螟、三化螟、稻纵卷叶螟。每公顷用25%水剂2250克,于螟虫盛孵前3~5天,以毒土或泼浇方式施入水层3~ 6厘米的稻田中。在整个水稻生长期只准用 一次. 安全间隔期50天。不准在其他粮食、油料、蔬菜、果树、药材、茶叶、烟草、甘蔗、甜菜等作物上使用。(张瑞亭)
杀虫双 具有链状结构的人工合成沙蚕毒类杀虫剂。化学结构式:

1970年日本首先合成,1974年中国贵州省化工研究所进行开发,后投入生产。
性能 纯品为白色结晶,无臭味,带有两个分子结晶水,熔点169~ 171℃ (分解),有吸湿性,在碱性介质中较稳定,在酸性介质中易分解。常温下密闭贮存较稳定。易溶于水,溶于95%热乙醇和无水热乙醇,也溶于甲醇、二甲基甲酰胺、二甲基亚砜,不溶于乙酸乙酯、乙醚等溶剂。对高等动物毒性中等,对雄性大鼠急性经口LD50为451毫克/千克,对雌性小鼠急性经口LD50为234毫克/千克,对眼睛和皮肤未发现刺激作用。在试验剂量内对试验动物未发现致畸、致突变和致癌作用。暂定对人每日允许摄入量(TADI)为0.025毫克/千克。对鱼类等水生生物毒性中等,对家蚕有毒,对天敌安全。杀虫活性较高,属神经毒剂,主要起触杀和胃毒作用,还具有内吸、熏蒸和杀卵作用。能被植物的叶、根吸收后传导并分布至整个植株。残效期较长。昆虫中毒后无兴奋现象,出现迟钝、行动缓慢、停止取食,并导致麻痹、停止发育、虫体软化瘫痪,直至死亡。杀虫谱较广,对鳞翅目、鞘翅目、半翅目、缨翅目等多种咀嚼式口器害虫、刺吸式口器害虫、叶面害虫和钻蛀性害虫有效。
应用 加工成水剂、颗粒剂等剂型使用。用于水稻、蔬菜、果树、茶树、甜菜、油菜、甘蔗等作物地,防治水稻螟虫、稻蓟马、稻苞虫、负泥虫、稻蝗,菜青虫、黄守瓜、蚜虫、黄条跳甲、小菜蛾、菜螟,柑桔潜叶蛾、柑桔达摩凤蝶、苹果钻心虫、苹果螨、梨小食心虫、梨星毛虫、梨蚜、桃蚜,茶毛虫、茶小绿叶蝉,甜菜白带螟,油菜青虫、油菜蚜虫,玉米螟、大螟、玉米铁甲虫,甘蔗条螟、大螟、甘蔗蓟马、甘蔗飞虱等。
一些作物对杀虫双敏感,如豆类、棉花等不宜使用。十字花科蔬菜幼苗也较敏感,在夏季高温及植株生长幼弱时不宜使用。与有机磷、氨基甲酸酯、拟除虫菊酯杀虫剂轮换使用,有利于延缓害虫对这些药剂抗药性的产生,也可用于防治对这些药剂产生抗药性的害虫。
类似品种 杀虫单。化学结构式:

对高等动物毒性中等,对大鼠急性经口LD50为330~400毫克/千克。加工成可溶性粉剂,防治对象与杀虫双相同。

杀虫脒chlordimeform

又称克死螨、cralecron。甲脒类杀虫杀螨剂。化学名称如下。N-二甲基-N'-(2-甲基-4-氯苯基)甲脒。化学结构式如下。1978年瑞士汽巴一嘉基公司报道杀虫脒在动物体内的代谢物:甲酰基4氯邻甲苯胺或4氯邻甲苯胺都是致癌物质,能引起慢性中毒。纯品雄大鼠急性经口LD50为178~220 mg/kg,大鼠经皮LD50为170~400 mg/kg。原药雄大鼠经口无作用剂量为100 mg/kg,鲤鱼LC50(48 h)40mg/L,红鳟鱼LC507.1 mg/L,鸭LC50>1 000 mg/L。中国1992年停止生产和销售。

杀虫脒

有机氮杀虫剂。化学名:N,N-二甲基-N′-(2-甲基-4-氯苯基)甲脒,取代六六六和高毒有机磷农药的品种之一。用于水稻、棉花。对害虫有拒食、忌避、杀卵作用。植物根、茎、叶均可吸收,药效慢、有效期长。其分解代谢产物有两次毒性的危险。按规定:在棉花上施药后,其棉籽油禁止食用;在水稻生育期使用按规定时间和剂量只能用一次;不得在油料、蔬菜、茶、烟等作物上使用。

杀虫脒

杀虫脒

杀虫脒[ClC6H3(CH3)N=CHN(CH3)2] 又称氯丙脒,N′-(4-氯-邻甲苯基)-N,N-二甲基甲脒。是一种高效、广谱的杀虫杀螨剂,可用于防治对有机氯、有机磷和氨基甲酸酯类农药产生抗药性的害虫。杀虫脒有基质型和盐酸盐型两种制剂,纯品均为白色结晶。前者具有氨样气味,熔点32℃,微溶于水,能溶于有机溶剂;后者无臭气,熔点225℃,易溶于水,稳定性比前者强,而加入一些酸性物质更可延长药效。杀虫脒在弱酸、弱碱中易水解破坏。
属中等毒类。急性经口LD50,大鼠为340~490mg/kg,小鼠为270~400mg/kg。大鼠经皮LD50为2,600mg/kg。毒作用出现迅速。急性中毒症状主要为神经兴奋、躁动、抽搐、气促,最后因呼吸衰竭而死。其致死过程迅速,存活者恢复也快。亚急性试验中,能引起生长延缓。在慢性试验中,给大鼠和狗喂饲2年,当剂量大于500ppm时,有较明显的肝细胞结节性增生、胆管增生及肾上腺皮质细胞轻度肥大等病变。在致癌试验中,对小鼠进行终生喂饲,发现杀虫脒及其代谢产物N-甲酰基4-氯邻甲苯胺和4-氯邻甲苯胺均有致癌作用,主要是引起结缔组织恶性血管内皮瘤。在小鼠皮肤长期涂敷的致癌试验中,发现涂敷过杀虫脒的小鼠皮肤经巴豆油促长后,皮肤乳头状瘤的发生率明显增高,并且试验中存在明显的剂量-效应关系。
杀虫脒可经消化道、呼吸道和皮肤吸收,在体内的分布量依次为肝、肾、肺、脾、脑、心、胰、脂肪。动物实验证明,杀虫脒及其代谢产物 (主要为对氯邻甲苯胺) 能迅速从尿中排出。给药后24小时,尿中的排出量,大鼠为85%,狗为70~80%,奶羊为65%。杀虫脒还能从胆道和乳汁排出。由于杀虫脒在体内迅速代谢和排出,故组织内无明显的蓄积。但在植物体内,杀虫脒的主要代谢产物对氯邻甲苯胺残留时间较长。
杀虫脒不引起胆碱酯酶的抑制,在中毒剂量时也不引起胆碱能神经兴奋,不产生骨胳肌胆碱能受体的刺激症状。一般认为杀虫脒具有作用于交感神经而对副交感神经没有影响的独特作用。
人的杀虫脒中毒主要是由于误服引起的急性中毒及生产和施药时不慎引起的生产性中毒事故。人中毒的症状主要是嗜睡、疲乏无力,其主要代谢产物对氯邻甲苯胺可引起膀胱刺激症状及血尿等。长期接触高浓度杀虫脒能损伤皮肤的微循环。急救主要是对症处理,适当补液以利毒物的排泄。严重中毒有紫绀出现时,可用小剂量美蓝静脉注射。治疗中须密切注意病人肾功能受损害情况。测定尿中对氯邻甲苯胺可作为机体吸收程度的指标。
水果、蔬菜禁止使用杀虫脒。粮食作物距收获期40天以内不得使用,且每亩用量不得超过100g。

☚ 拟除虫菊酯类   除草剂和植物生长调节剂 ☛
00014384
随便看

 

离鸟网收录3541549条中英文词条,其功能与新华字典、现代汉语词典、牛津高阶英汉词典等各类中英文词典类似,基本涵盖了全部常用中英文字词句的读音、释义及用法,是语言学习和写作的有利工具。

 

Copyright © 2004-2024 vtrois.com All Rights Reserved
更新时间:2026/4/8 10:30:30