网站首页  词典首页


请输入您要查询的字词:

 

字词 杀螟丹
类别 中英文字词句释义及详细解析
释义

杀螟丹cartap

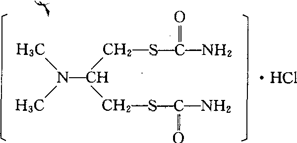
第一个人工合成沙蚕毒类杀虫剂。商品名有巴丹、派丹、Padan、Patap、Caldan、Sanvex、Thiobel、Vegetox等。化学结构式:

1965年由日本武田药品工业公司(Takeda Chemical In-dustries,Ltd.)开发并投入生产。
性能 纯品为无色固体结晶,有轻微的气味,熔点179~ 181℃ (分解),原药纯度达95~ 97%,在酸性介质中稳定,在中性介质中缓慢水解,在碱性介质中水解较快。常温下密闭贮存稳定,在40℃和60℃下贮存三个月未见降解。易溶于水,微溶于甲醇和乙醇,不溶于丙酮、乙醚、氯仿和苯等有机溶剂。对高等动物毒性中等,原药对大鼠急性经口LD50为345毫克/千克(雄),325毫克/千克(雌),对雄性小鼠急性经皮LD50大于1000毫克/千克,对兔皮肤、眼睛未发现刺激作用。在试验剂量内对试验动物未发现致畸、致突变和致癌作用。对大鼠慢性经口无作用剂量为10毫克/千克· 天。对鸟类低毒,对鱼类等水生生物毒性中等,对蜜蜂、家蚕有毒,对蜘蛛等天敌无不良影响。杀虫活性较高,属神经毒剂,主要起触杀和胃毒作用,还具有一定的内吸、拒食和杀卵作用。残效期较长,击倒较快,但需注意常有复苏现象。昆虫中毒后拒食,停止危害,从中毒到死亡经历的时间较长。杀虫谱较广,对鳞翅目、鞘翅目、半翅目、双翅目等多种咀嚼式口器害虫、刺吸式口器害虫、叶面害虫和钻蛀性害虫有效。
应用 加工成可溶性粉剂、颗粒剂、粉剂等剂型使用。用于水稻、蔬菜、茶树、果树、旱粮等作物田,防治水稻螟虫、稻苞虫、稻飞虱、稻叶蝉、稻瘿蚊、潜叶蝇、菜青虫、小菜蛾、菜螟、蚜虫、黄条跳甲、二十八星瓢虫、马铃薯块茎蛾、茶毛虫、茶细蛾、茶叶蝉、茶尺蠖、柑桔潜叶蛾、桃小食心虫、苹果潜叶蛾、甘蔗螟、玉米螟、甘蔗麦蛾、蝼蛄等。
一些作物对杀螟丹较敏感,如水稻扬花期或作物被雨露淋湿时,不宜施药;喷雾浓度过高对水稻也会产生药害。十字花科蔬菜幼苗对杀螟丹较敏感,在夏季高温及植株生长幼弱时,不宜施药。与有机磷、氨基甲酸酯、拟除虫菊酯杀虫剂作用机制不同,可用于防治对这些杀虫剂产生抗药性的害虫,与这些类型的杀虫剂轮换使用,有利于避免抗药性的产生。应避免与碱性药剂混用。
类似品种 杀虫磺(bensultap),化学结构式:

对高等动物低毒,对大鼠急性经口LD50为1105毫克/千克(雄),1120毫克/千克(雌)。加工成可湿性粉剂、粉剂、颗粒剂,用于防治水稻螟虫、稻苞虫、负泥虫、马铃薯甲虫、二十八星瓢虫、苹果潜叶蛾、舞毒蛾、玉米和甜菜象甲、茶树卷叶蛾、茶蓟马、油菜甲虫等。

杀螟丹cartap

又称巴丹(padan)。沙蚕毒素类的杀虫剂。化学名称:S,S′-〔2-(二甲胺基)-1,3-丙二基〕-硫代氨基甲酸酯-盐酸盐。化学结构式如下。纯品是无色结晶,熔点179~181℃,易溶于水,溶解度20%。溶于甲醇,难溶于丙酮及苯。使用方法:每公顷用50可湿性粉剂0.75~1.5 kg,对水600~900 kg,喷雾或者用少量水稀释拌450 kg,干细土撒施。在水稻螟虫盛孵前1~2天施药可以防治白穗及枯心。急性口服毒性LD50大鼠(♂)为380 mg/kg,(♀)为390mg/kg,小鼠为225 mg/kg;经皮LD50大鼠大于1 000 mg/kg,鱼毒LC50鲤为1.5 mg/kg。ADI为0.1 mg/kg。

杀螟丹

沙蚕毒素类杀虫剂。1967年由日本研制。中国1976年开发生产,又称杀虫双。工业品为白色结晶,在酸性条件下稳定,碱性和中性条件易水解。对10多种作物的60余种害虫有效,特别是水稻螟虫、稻纵卷叶螟。剂型主要有25%水剂、3%和5%颗粒剂、5%包衣大粒剂、45%油剂、50%盐粉等,有效施用量一般为每公顷450~750 g。

随便看

 

离鸟网收录3541549条中英文词条,其功能与新华字典、现代汉语词典、牛津高阶英汉词典等各类中英文词典类似,基本涵盖了全部常用中英文字词句的读音、释义及用法,是语言学习和写作的有利工具。

 

Copyright © 2004-2024 vtrois.com All Rights Reserved
更新时间:2026/4/9 3:33:19